Главная Статьи и новости Туризм
Туризм
Индекс материала
Туризм
Страница 2
Страница 3
Страница 4
Все страницы

Туризм

Туризм: учебник

Настоящий учебник составлен с учетом требований Государственного образовательного стандарта для средних специальных учебных заведений. Во введении и четырех разделах учебника рассматриваются организационные и психолого-педагогические основы сервисной деятельности; всесторонне охарактеризована профессиональная деятельность в туризме, подробно проанализированы профессиональные качества работников сферы туризма. Приложен глоссарий основных туристских терминов. Учебник предназначен для студентов образовательных учреждений среднего профессионального образования, а так же может использоваться и в учебном процессе вузов для специальности «Социально-культурный сервис и туризм».

 

 

 

ВВЕДЕНИЕ

ИЗ ИСТОРИИ ТУРИЗМА

О ПОНЯТИИ «ТУРИЗМ». КЛАССИФИКАЦИЯ ТУРИЗМА

Раздел I

Глава 1

§ 1.1. Сфера бытового обслуживания населения

§ 1.2. Посреднические услуги в современном российском предпринимательстве

§ 1.3. Характеристика досуговых услуг

§ 1.4. Особенности сервисной деятельности в России

§ 1.5. Внедрение новых форм обслуживания

§ 1.6. Новые виды отечественных услуг

Контрольные вопросы

Глава 2

§ 2.1. Особенности общего управления сервисным предприятием

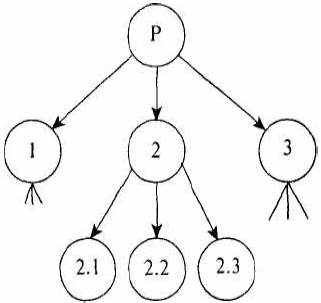
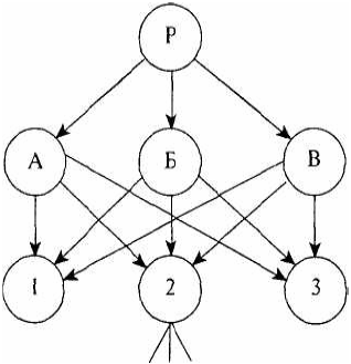
§ 2.2. Организационная структура сервисного предприятия

§ 2.3. Производственный менеджмент

Контрольные вопросы

Глава 3

§ 3.1. Процесс обслуживания потребителей

§ 3.2. Прогрессивные формы обслуживания

Контрольные вопросы

Глава 4

§ 4.1. Культура сервиса и морально-нравственный характер общения людей

§ 4.2. Этические основы, деловой этикет и эстетические аспекты сервисной деятельности

§ 4.3. Социально-культурная сфера и кодекс профессиональной этики работников обслуживания

Контрольные вопросы

Глава 5

§ 5.1. Психология процесса обслуживания

§ 5.2. Тактика обслуживания на этапах совершения заказа

§ 5.3. Жалобы и конфликты при обслуживании клиентов

§ 5.4. Способы разрешения конфликтов

§ 5.5. Единство этики и психологии в сервисной деятельности

Раздел II

Глава 1

§ 1.1. Основные понятия рекреации

§ 1.2. Использование природных ресурсов

§ 1.3. Государственные охраняемые территории. Экологический туризм

§ 1.4. Особо охраняемые природные территории как объекты туризма

Контрольные вопросы

Глава 2

§ 2.1. Виды туристских организаций

§ 2.2. Туризм и другие области знания

§ 2.3. Правовые проблемы туристского бизнеса в Российской Федерации

§ 2.4. Правовая грамотность туристов

§ 2.5. Обеспечение безопасности в туризме

Контрольные вопросы

РАЗДЕЛ III

Глава 1

§ 1.1. Роль турагента и туроператора на туристском рынке

§ 1.2. Турагенты

§ 1.3. Туроператоры

§ 1.4. Специфика туристского продукта

§ 1.5. Туроператоры и турагенты на международном рынке

Глава 2

Контрольные вопросы

Глава 3

§ 3.1. Оценка потенциала роста мирового рынка туризма

§ 3.2. Эволюция рыночных технологий

§ 3.3. Перспективы развития видов туристской деятельности

§ 3.4. Прогнозы развития международного туризма

§ 3.5. Влияние социодемографических изменений на развитие мирового рынка туризма

Контрольные вопросы

Глава 4

§ 4.1. Российское законодательство в области защиты прав и интересов туристов

§ 4.2. Практика правового регулирования туристской деятельности в России

§ 4.3. Особенности страхования в туризме

Контрольные вопросы

РАЗДЕЛ IV

Глава 1

§ 1.1. Общее представление о профессии, специальности, квалификации

§ 1.2. Стадии и уровни профессионализма. Профессиональное воспитание и обучение специалиста

§ 1.3. Профессиональная компетентность и профессионализм работника социальной сферы

Глава 2

§ 2.1. Понятие о должности. Содержание разделов должностной инструкции («Общие положения», «Функции»)

§ 2.2. Содержание разделов должностной инструкции («Должностные обязанности», «Права»)

§ 2.3. Содержание раздела должностной инструкции («Ответственность»)

§ 2.4. Другие разделы должностной инструкции

§ 2.5. Должностная инструкция персонала гостиниц

§ 2.5.1. Генеральный директор гостиничного предприятия

§ 2.5.2. Заместитель Генерального директора

§ 2.5.3. Начальник отдела маркетинга

§ 2.5.4. Заведующий номерным фондом

§ 2.5.5. Заведующий службой предварительных заказов мест в гостинице

§ 2.5.6. Портье по приему предварительных заказов мест в гостинице

§ 2.5.7. Регистратор

§ 2.5.8. Дежурная по этажу

Глава 3

§ 3.1. Заведующий отделом продуктов питания и напитков

§ 3.2. Заведующий шеф-повар

§ 3.3. Старший стюард

§ 3.4. Заведующий обслуживанием в номерах

§ 3.5. Заведующий кафе

§ 3.6. Администратор кафе

§ 3.7. Директор ресторана (метрдотель)

§ 3.8. Заведующий отделом по проведению банкетов

§ 3.9. Старший официант по обслуживанию банкетов

Глава 4

§ 4.1. Особенности характера, необходимые работнику сферы обслуживания

§ 4.2. Профессиональный риск при работе в социальной сфере

§ 4.3. Регламент трудовой деятельности

Глава 5

§ 5.1. Содержание труда, необходимые личностные и психические качества основных профессий СКСТ

§ 5.2. Коммуникативная профессиограмма специалиста СКСТ

§ 5.3. Карьера профессиональной деятельности специалиста социальной сферы

Глава 6

§ 6.1. Специалисты по экотуризму

§ 6.2. Специалисты по туроперейтингу

§ 6.3. Специалисты административного управления туризмом

ЗАКЛЮЧЕНИЕ

ГЛОССАРИЙ

Основные понятия и определения туризма

Туристские услуги и обслуживание

Терминология туроперейтинга

ЛИТЕРАТУРА

 

ВВЕДЕНИЕ

Туризм (фр. tourisme; tоur – прогулка, поездка) возник в тот период развития общества, когда потребность человека в получении информации о новых местах, в путешествии как средстве получения этой информации явилась объективным законом развития человеческого общества. Путешествие приносит человеку удовольствие и дает возможность отдохнуть.

На определенном этапе развития экономики, когда потребность в путешествиях резко возросла, появились и производители этих услуг. Это привело к формированию товара особого типа – туризма, который можно купить и продать на потребительском рынке.

Производители услуг, предназначенных для обслуживания туристов (путешествующих людей), объединились в отрасль «туризм». Туризм не является товаром первой жизненной необходимости, поэтому он становится насущной потребностью человека только при определенном уровне его дохода и при определенном уровне богатства общества.

Туризм в наше время во многих странах мира бурно развивается, играет все более заметную роль в мировой экономике. По мнению экспертов, уровень международного туризма по прибытиям в 1999–2010 гг. может составить более 1 трлн туристов, [1 - Биржаков М. Б. Введение в туризм. – М.– СПб.: «Невский фонд», 2000. – С. 23.] а прибыльность этой сферы услуг будет неуклонно возрастать. Уже сегодня на сферу туризма приходится около 6 % мирового валового национального продукта, 7 % мировых инвестиций, каждое 16-е рабочее место, 11 % мировых потребительских расходов. [2 - Маркова В. Д. Маркетинг услуг. – М., 1996. – С. 3.]

Поскольку туризм является межотраслевой сферой экономики, охватывающей не только средства размещения, но и транспорт, связь, индустрию питания, развлечений и многое другое, эта сфера влияет на любой континент, государство или город. Значение туризма для экономики разных стран связано прежде всего с теми преимуществами, которые он приносит при условии успешного развития. Прежде всего – это рост рабочих мест в гостиницах и других средствах размещения, в ресторанах и иных предприятиях индустрии питания, на транспорте и в смежных обслуживающих отраслях. Другим важным преимуществом является мультипликативный эффект от туризма, то есть его влияние на развитие смежных отраслей экономики. Третье преимущество – рост налоговых поступлений в бюджеты всех уровней. Кроме этого, туризм оказывает экономическое влияние на местную экономику, стимулируя экспорт местных продуктов.

В России, однако, в силу ряда причин, сфера туристской деятельности в сравнении со многими другими странами еще не получила должного развития. На долю России вместе со всеми странами СНГ приходится лишь 2 % мирового туристского потока. [3 - Квартальнов В. А. Иностранный туризм. – М.: Финансы и статистика, 2001. – С. 251.] Сегодня численность приезжающих в Россию иностранных гостей с деловыми, туристическими и частными целями составляет около 8 млн человек, что далеко не соответствует ее туристическому потенциалу.

Среди основных причин, сдерживающих развитие въездного туризма, – создаваемый отдельными зарубежными и отечественными средствами массовой информации образ России как страны, неблагоприятной для туризма; несовершенство действующего порядка выдачи российских виз гражданам иностранных государств, безопасных в миграционном отношении; неразвитая туристическая инфраструктура; несоответствие цены и качества размещения в гостиницах и др.

Вместе с тем ежегодно заметно растет число российских граждан, желающих совершить туристическую поездку, особенно в зарубежные страны. Так, в последние годы среднее количество российских туристов, выезжающих в страны дальнего и ближнего зарубежья, составляет около 13 млн человек, [4 - Менеджмент туризма. Туризм и отраслевые системы. – М.: Финансы и ста¬тистика, 2001. – С. 162.] и цифра эта постоянно растет. Это свидетельствует о том, что туристская деятельность, пережив период хаотичного развития, проходит этап качественного становления.

 

 

ИЗ ИСТОРИИ ТУРИЗМА

Люди путешествовали всегда, во все времена. Представители древних народов, населявшие различные части Земли, оставили записи о своих впечатлениях от пребывания в дальних краях. Эти исторические свидетельства показывают, что по мере расширения торговой деятельности и завоеваний, к примеру, в Греции, Риме и Китае представители знатного сословия этих стран все чаще отправлялись в поездки для развлечения, с торговыми или с дипломатическими целями. Геродот, например, оставил значительное письменное наследие о своих кратковременных поездках и длительных путешествиях.

В подобной литературе, имевшей жизнеописательный характер и историческую направленность, рассматривались искусство и философия путешествия, описывалось население других стран, языки, религии, традиции дарить подарки, черты местного быта и гостеприимство.

Во времена колониальных завоеваний и географических открытий арабами (VIII в. н. э.) и европейцами (в том числе Марко Поло – ХII в. н. э.) было сделано много записей о путешествиях. Отметим, что эти путешественники оставили после себя замечательное литературное наследие. Так, поэт Баско, посетивший Японию в ХV в., написал мемуары, которые по сей день служат прекрасным справочным материалом нынешним туристам. Туризм в это время имел, как правило, не познавательный характер, а был ориентирован на встречи важных персон и делегаций, а также на посещение священных мест.

С XV в. европейская экспансия усилилась, чему отчасти способствовали появление детальных карт и новых мореходных судов, а также рост купеческого сословия. Согласно этим документам, начиная с середины XVI в. жители Северной Европы регулярно ездили на лечение к минеральным водам, в известные учебные центры Италии и к памятникам великих цивилизаций в Южную Европу. Поначалу путешествовали лишь знать, паломники и дипломатические посланники. Понятие «тур» было введено гораздо позже – в 1750-х гг., и вскоре термин «турист» был принят для обозначения участников подобных развлекательных и образовательных путешествий.

Поначалу туры были продолжительными – по 2–3 года. Туриста (как правило, молодого человека) сопровождал в путешествии опекун. В наследство нам в мемуарах, туристских справочниках и путеводителях остались многие повествования об этих путешествиях. Это были не только литературные, но и описательные познавательные, страноведческие и культурологические работы, возможно, лучшей иллюстрацией которых являются записки Гете и Стендаля об Италии, а Тургенева и Карамзина – о Германии и Франции, Дарвина – о животном мире и ландшафтах различных стран, которые он посетил в ходе путешествия на корвете «Бигл».

Паломничество как особая ветвь путешествий также оставило многочисленные документальные свидетельства, среди которых хотелось бы отметить «Инока Парфения повествования о путешествиях по монастырям».

Индустриальная революция, миссионерство, социальная реформация внесли большие изменения в условия жизни людей.

Современный туризм зародился в XIX веке в Англии. Известна даже точная дата основания туризма – 6 июля 1841 года. В этот день англичанин Томас Кук (1808–1885) открывает первое туристское агентство. Он совершил настоящее открытие: придумал туризм – один из самых доходных видов бизнеса, на котором сегодня богатеют не только отдельные фирмы, но и целые государства. Т. Кук, великий английский реформатор туризма, впервые начинает использовать железнодорожный транспорт для поездок среднего класса за город, на выставки и ралли. Отметив коммерческие перспективы массового туризма, он положил начало современной туристской индустрии: турагентствам, резервированию мест в транспорте и гостиничных номерах, классификации отелей, дорожным чекам, расписаниям и качественным путеводителям с исчерпывающей информацией.

А начиналось все весьма прозаично. Родился Томас Кук в нищей английской семье. Вскоре после смерти отца его отправили учиться в школу при монастыре. Достигнув 17 лет, Томас принял крещение и стал полноправным членом баптистской церкви. Он перебрался из Мельбурна в Лафборо, где принялся без устали писать статьи для местного баптистского журнала, в которых объявил беспощадную войну пьяницам и курильщикам. Когда в 1840 году была открыта железнодорожная ветка, связавшая Дерби с Рагби, Томас Кук неожиданно понял, что такое прекрасное изобретение, как железная дорога, необходимо использовать для рекламы трезвого образа жизни. Он решил нанять поезд, чтобы отвезти на нем «друзей трезвости» из Лейстера в Лафборо на ежеквартальный съезд ассоциации трезвенников южных графств центральной Англии. 570 «друзей трезвости», ставших первыми туристами, погрузились в девять открытых вагонов. В дальнейшем в рекламных целях железные дороги стали предоставлять Куку скидки, которые позволяли организовывать развлекательные поездки и для людей с самыми ограниченными финансовыми возможностями. Поэтому клиентов были уже не сотни, а тысячи. Его экскурсии и путешествия основывались на очень действенном принципе: «получение максимальной выгоды для максимального количества людей по минимальной цене».

Летом 1845 года Томас Кук организовал первое чисто развлекательное путешествие – без проповедей и воздержаний. Для своего первого путешествия, впрочем, как и для всех последующих, – Кук издал небольшой путеводитель с рассказом обо всех достопримечательностях, которые туристы смогут увидеть. Успех превзошел самые оптимистичные ожидания. Еще во время рекламной кампании спрос на билеты был так высок, что пришлось нанять два поезда вместо одного.

Освоив маршруты по Шотландии, Ирландии, Северному Уэльсу и на остров Мэн, Кук пошел дальше. Он предложил нескольким крупным землевладельцам центральной Англии открыть их замки и парки простым людям для осмотра.

Кук разработал маршруты по многим европейским городам. В 1865 году он открыл для соотечественников Новый Свет, а для американцев – родину их предков. Деятельность осуществлялась через агентство «Томас Кук и сын», первой конторы, специализирующейся на организации туристических поездок. Одним из первых американских клиентов фирмы стал Марк Твен. Не случайно, наиболее яркое описание такого путешествия приводится в пародии Марка Твена «Простаки за границей» (1869).

Постепенно массовый туризм стал приобретать международный характер. Туризм превратился в общественное явление огромного, мирового масштаба. Усовершенствование производства, развитие общества привели к появлению большего количества свободного времени, а новые условия жизни людей – к возрастанию рекреационных потребностей.

На стыке ХIХ и ХХ вв. описание путешествий прекратило быть областью преимущественного внимания вольных философов и ярких индивидуальностей-одиночек (таких как Гумбольдт, Спенсер, Маркс или Плеханов), но благодаря именно им начинается период социализации туризма, обозначенный тенденциями, обоснованными в работах М. Вебера, Дюркгейма, Веблена и ван Ганнепа.

Теснейшим образом с историей туризма связано и развитие учения о туризме. Издавна изучением туризма как науки занимались сами путешественники, и подобные учения соответствовали духу и характеру туризма своего времени.

Первая мировая война и социальная революция в России положили конец власти аристократии. Люди стали более внимательно относиться к природе в связи с кризисом здоровья в условиях всеобщей индустриализации и урбанизации. Приобретают популярность принятие солнечных ванн, особенно на морских курортах, а также отдых в горах, лыжи, пеший туризм, круизы. Развитие этих видов отдыха продолжается и поныне.

В этот период приоритет в развитии учения о туризме приобретают исторические исследования, которые занимаются изучением как туризма в целом, так и историей отдельных курортов. Историками был внесен важнейший вклад, например, в изучение форм рекреации в Древнем Риме, Англии ХVII века, истории великих географических открытий, кругосветных путешествий, мирового турне.

Начиная с 1930-х гг. география стала уделять больше внимания описаниям и страноведческим характеристикам отдельных районов и содействовала интересу к проблемам развития внутреннего туризма.

В последующие после Второй мировой войны десятилетия туризм послужил толчком к развитию всех стран, но особенно – освободившихся от колониального гнета. Решающую роль в популяризации выездного туризма сыграло появление в 1952 г. в России авиапутешествий, так же как, впрочем, и в США, ученые сконцентрировали свое внимание на внутреннем туризме и на проблемах рекреации.

К 60-м годам XX века на территории Западной Европы, и в особенности США, начала складываться особая социально-экономическая система, которая к началу 80-х годов стала приобретать международный характер – индустрия туризма.

 

 

О ПОНЯТИИ «ТУРИЗМ». КЛАССИФИКАЦИЯ ТУРИЗМА

Система взглядов на туризм как культурное явление в мировой научной общественности постоянно менялась. И сегодня структура индустрии туризма, определение отдельных его компонентов и даже само определение «туризма» остаются спорным.

Между тем актуальность четкого определения этого понятия очевидна. Ведь в зависимости от полноты и ясности определения границ системы индустрии туризма, выявления структурных компонентов, входящих в нее, главных и вспомогательных отраслей, производящих рекреационные услуги, можно установить и прогнозировать закономерности развития этой системы, иметь четкие представления о ее границах, и, как следствие этого, рассчитать реальный экономический эффект от этой отрасли экономики и определить степень ее влияния на развитие определенной территории.

По мнению некоторых ученых, под понятие «туризм» подпадают все виды движения человека, не связанные с переменой постоянного места жительства и работы. [5 - Развитие индустрии туризма в СССР / / Материалы научной конференции. – Новосибирск, 1968.] При такой точке зрения под туризмом можно понимать одну из форм миграции, не имеющую постоянного характера. [6 - Бондарчук И. Т., Таныгин Г. И. Социально-экономическая сущность курор¬тного хозяйства и туризма как отрасли народного хозяйства // Респ. межвед. науч. сб. Экономическая география. – 1977. – Вып. № 23. – С. 104–114.]

Другие авторы (Азар В. И., Ходорков Л. Ф., Герасименко В. Г. и др.) в своих определениях понятия «туризм» подчеркивают динамичность («перемещение», «движение») и территориальность этого явления. Некоторые авторы под туризмом обязательно подразумевают наличие активного отдыха. [7 - Там же.]

В 1963 году на конференции ООН по международному туризму и путешествиям, состоявшейся в Риме, было утверждено определение, согласно которому «любое лицо, находящееся в течение 24 часов и более в стране, не являющейся его постоянным местом проживания (ПМЖ), с целью отдыха, лечения, участия в спортивных мероприятиях, заседаниях, конгрессах и т. д., не оплачиваемых в стране пребывания…» считается международным туристом. [8 - Бондарчук И. Т., Таныгин Г. И. Социально-экономическая сущность курортного хозяйства и туризма как отрасли народного хозяйства // Респ. межвед. науч. сб. Экономическая география. – 1977. – Вып. № 23. – С. 104–114.] Поскольку между определением «турист» и «отдыхающий» нет качественных принципиальных различий, туризм может являться не только активным видом отдыха (спортивные мероприятия и т. д.), но и пассивным отдыхом (лечение и т. д.). [9 - Азар В. И. Экономика и организация туризма. – М.: Экономика, 1972. – 184 с.] Ведь под отдыхом может подразумеваться любая деятельность или бездеятельность, направленная на восстановление сил человека, которая может осуществляться как на территории ПМЖ, так и за ее пределами. [10 - Николаенко Т. В. Николаенко Д. В. Введение в рекреационную географию. Харьков: Международный Славянский ун-т, 1998. – 195 с.] И если отдых происходит на территории, находящейся за пределами ПМЖ субъекта, то он вне зависимости от вида отдыха попадает в категорию «турист». Также идентичен «туризм» и «отдых» с точки зрения общественного производства. Туризм и отдых – это специфические формы потребления национального богатства и нематериальных благ. [11 - Рогозинская Е. А. Экономические проблемы организации туризма и управление им в СССР // Вестник МГУ. Серия Экономика. – 1976. – № 5. – С. 38–46.] Хотя оба эти понятия идентичны с точки зрения конечной цели, а именно: удовлетворение рекреационных потребностей, формы их достижения разные.

Для классификации рекреационной (туристической) деятельности существуют разные подходы. Исходя из цели и основных мотивов путешествия, американский ученый В. Смит [12 - Smith V. Hosts and Guests / University of Pennsyvania Press. – Philadelphia, 1977.] определяет шесть категорий туризма:

– этнический;

– культурный;

– исторический;

– экологический;

– рекреационный;

– деловой.

Украинский ученый Н. П. Крачило [13 - Крачило Н. Г. География туризма. – Киев: Вища школа, 1987. – 208 с.] предложил несколько иную классификацию из шести видов туризма:

– курортно-лечебный;

– культурно-развлекательный (туристические путешествия, проводимые с целью ознакомления с историко-культурными, археологическими и архитектурными достопримечательностями; посещение музеев, картинных галерей, театров, фестивалей, спортивных соревнований и других объектов культуры);

– спортивный;

– познавательно-деловой;

– религиозный;

– промысловый.

Российский ученый Н. С. Мироненко [14 - Мироненко Н. С. Рекреационная география. – М.: изд. Московского университета, 1981. – 207с.] подразделяет рекреационную деятельность по главному мотиву на следующие три основных вида:

– лечебную;

– оздоровительную и спортивную;

– познавательную (природную, культурно-историческую).

Отечественный современный ученый В. А. Квартальнов, [15 - Квартальнов В. А. Туризм: учебник. – М.: Финансы и статистика, 2000. – 320 с.: ил.] рассматривая поведение человека в качестве покупателя турпродукта, предлагает классифицировать рекреационную деятельность следующим образом:

– отдых, досуг, развлечение;

– познание;

– спорт и его сопровождение;

– паломничество;

– деловые цели;

– гостевые цели.

Китайский ученый Ван Циншеи [16 - Ван Циншен. Историко-культурный туризм и развитие туристических городов // Культура народов Причерноморья. – 2002. – № 35. – С. 11–15.] считает, что классификация рекреационной деятельности должна быть многоуровневой и основываться на теории уровней потребностей Абрахама Маслоу.

Потребности первого, основного, уровня представлены ландшафтным туризмом, удовлетворяющим потребности туристов в познании природы и культуры.

Туристические потребности второго, повышенного, уровня, направлены на удовлетворение потребностей в развлечениях.

Третий, специальный, уровень туристической потребности включает любование памятниками культуры, курортно-лечебную деятельность, отдых, участие в конференциях, паломничество, научные экспедиции и т. д. При этом «историко-культурный фактор является единственной постоянной аттрактивности (привлекательности – В.Б.) во всех трех уровнях туристических потребностей». [17 - Там же. – С. 12.]

Туризм может быть активным или пассивным, внутренним и международным. По разным основаниям туризм может подразделяться на различные виды:

– по цели поездки туризм может быть подразделен на рекреационный, познавательный, научный, деловой;

– по характеру организации и интенсивности обслуживания – на плановый, неорганизованный (самодеятельный);

– по численности путешествующих – на индивидуальный, семейный, групповой;

– по продолжительности тура – на кратковременный или долгосрочный;

– по возрасту туристов – на детский, молодежный, взрослый;

– по способу передвижения (виду транспорта) – на автотуризм, караванный, морской и речной туризм и др.;

– по способу размещения – на стационарный и передвижной (круизы, туры);

– по интенсивности туристской деятельности туризм делится на постоянный (круглогодичный) и сезонный (связанный с определенным временем года);

– по виду использования природных ресурсов – на развлекательный, экологический, горный, водный, олимпийский, пешеходный;

– по форме финансирования туризм подразделяется на коммерческий и социальный.

По другим основаниям туризм может подразделяться на другие виды. Классификация видов туризма необходима для разработки целевых и региональных программ, имеющих элементы национальных культур, дифференцирование экономических нормативов для разных регионов страны, учитывающих особенности экосистем разных территорий, культурно-эстетические и природно-климатические условия данного региона.

 

 

Раздел I

СЕРВИСНАЯ ДЕЯТЕЛЬНОСТЬ: ОРГАНИЗАЦИОННЫЕ, ЭТИЧЕСКИЕ И ПСИХОЛОГИЧЕСКИЕ АСПЕКТЫ

 

Глава 1

Разновидность услуг и их характеристика

 

§ 1.1. Сфера бытового обслуживания населения

Под сферой бытового обслуживания, как правило, понимают совокупность видов деятельности, функциональное значение которых в системе общественного производства выражается в оказании и реализации услуг для населения. В зависимости от их роли в процессе воспроизводства, от характера удовлетворяемых ими потребностей виды деятельности сферы бытового обслуживания значительно различаются между собой.

Они существенно дополняют личное потребление, участвуют не только в удовлетворении, но и в целенаправленном формировании потребностей населения, создании условий для экономии свободного времени населения. На современном этапе формирования рыночных отношений в экономике России широкое развитие сети малых предприятий бытового обслуживания способствует развитию предпринимательской активности, получению населением дополнительных доходов, увеличению количества рабочих мест и работающего населения, в том числе на условиях неполной занятости, то есть помимо основной работы.

Утвержденные 8 июня 1993 года постановлением СМ и Правительства РФ № 536 «Правила бытового обслуживания населения в Российской Федераций» впрямую не указывали те виды деятельности, для которых они разработаны. Трактовался этот вопрос следующим образом: «Правила бытового обслуживания населения в Российской Федерации… регулируют отношения между потребителями и исполнителями в сфере бытовых услуг», подразумевая, что указанная сфера уже известна и узаконена. Далее методом от противного в «Правилах…» выделялись те сферы деятельности, на которые они не распространялись, причем оставалось не ясным, являлись ли эти виды деятельности бытовыми и на них не распространялись «Правила…», или это совершенно другая область предпринимательского труда.

В конце 90-х годов бытовые услуги в общем объеме оказанных услуг населению в целом по России составляли 16 %. При этом необходимо отметить, что объем бытовых услуг населению в общем объеме платных услуг упал по сравнению с предыдущими годами (30 % в 1993 г.). Удельный вес бытовых услуг снижается при росте доли расходов населения на социально необходимые услуги, ранее предоставляемые бесплатно или со значительной скидкой (жилищно-коммунальные услуги, услуги системы образования, медицинские).

Именно в этой отрасли произошли процессы, имеющие негативные последствия для обслуживания населения России социально важными бытовыми услугами. Результатами данных процессов стали:

– сокращение физических объемов производства бытовых услуг по сравнению с дореформенным периодом по всем основным группам бытовых услуг. Так, в 1998 г. объем бытовых услуг не превышал 24 % от уровня 1990 года, в том числе прачечных – 8 %, парикмахерских – 11 %, химчистки и крашения – 5 %, бань и душевых – 10 %;

– структурные изменения бытовых услуг, растет спрос на услуги по техническому обслуживанию и ремонту транспортных средств, ремонту и строительству индивидуального жилья, индивидуальный пошив одежды, основными потребителями которых являются группы населения с высоким и средним уровнем дохода, при этом падает спрос на услуги по пошиву обуви, изготовлению и ремонту, на услуги прачечных;

– сокращение сети предприятий бытового обслуживания, особенно в сельской местности, как в целом, так и по отдельным видам услуг. К началу 1997 г. в России насчитывалось 57 тыс. мастерских, ателье, что в 2,2 раза меньше, чем на начало 1991 года, а в сельской местности соответственно в 3 раза меньше. Почти в 3 раза уменьшилась численность работающих в отрасли при том, что именно в этой сфере предположительно постоянно должны создаваться дополнительные рабочие места. Результаты бюджетных обследований показывают, что во всех доходных группах население осуществляет расходы на оплату бытовых услуг. Диапазон разброса бытовых услуг в общем объеме данной категории потребительских расходов достаточно велик: от 1,1 % в самой низкодоходной и до 36,4 % в самой высокодоходной группе. Однако наличие этих расходов подтверждает неоспоримый факт, что даже при минимальных среднедушевых доходах население вынуждено потреблять бытовые услуги в силу их социальной значимости. Принципиальным моментом в оценке тенденций потребления отдельных видов услуг является необходимость дифференцированного подхода к различным видам услуг и сложившимся тенденциям реализуемого спроса на них, в том числе в силу имеющихся диспропорций в доходах различных слоев населения.

 

 

§ 1.2. Посреднические услуги в современном российском предпринимательстве

В современной экономике России продолжают выделяться и развиваться многие виды специализированных отраслей сферы услуг как следствие формирования рыночной инфраструктуры. Особое развитие получил комплекс услуг коммерческого посредничества. Эти услуги обеспечивают процесс производства, обращения и эффективного потребления материальных и нематериальных благ.

Услуги делового посредничества проникают буквально во все звенья производства и потребления, обеспечивая более быстрое и надежное функционирование общественного капитала. Расширение услуг делового посредничества вовлекает в трудовую деятельность рабочую силу, которая по тем или иным причинам не задействована в материальном производстве, что особенно актуально для условий углубления процессов безработицы в России. В 2000 году в России функционировало около 20 тысяч посреднических организаций с численностью более 600 тысяч человек.

В нашем понимании услуги коммерческого посредничества ни в коем случае не ограничиваются торгово-закупочными операциями. Это особенно важно в двух внешне кардинально противоположных ситуациях: в условиях глубокого экономического кризиса и устойчивого экономического развития.

В первом случае абсолютизация торгово-закупочной деятельности может привести к сокращению объема продаж и свертыванию коммерческого посредничества, что обычно связано с падением деловой активности и снижением покупательной способности потребителей. Во втором – недостаточность торгово-закупочных функций обычно связана с возвышением потребностей, когда клиенты готовы платить не за товар как таковой, а за удовлетворение определенной потребности, что нередко требует поставить не только сам товар, но и товары сопровождения, а также широкий спектр услуг.

Можно выделить несколько групп услуг, оказываемых потребителям коммерческими посредниками:

– посредничество в реализации товаров и организации хозяйственных связей. Сюда входит: организация каналов реализации и приобретения продукции посредством биржевой, ярмарочной, аукционной и комиссионной торговли, посредничество в реализации и при обретении продукции между производителями и потребителями, в организации кооперирования промышленных предприятий и загрузки их свободных мощностей, посредничество в реализации неиспользуемых товарно-материальных ценностей и вторичных ресурсов;

– информационные и организационно-коммерческие услуги: обеспечение коммерческой, научно-технической, экономической, правовой и другой информацией потребителей и производителей продукции, изучение спроса и предложения на отдельные виды продукции и услуг по заказам клиентов, организационно-правовое и научно-техническое консультирование потребителей продукции и услуг. К этой группе относят и консалтинговые услуги по консультированию производителей, продавцов и покупателей в различных сферах деятельности, а также по исследованию и прогнозированию рынка товаров и услуг;

– производственные услуги: преобразование производственного ассортимента продукции в потребительский, изготовление продукции повышенной готовности к потреблению, монтаж поставляемого оборудования, проверка качества поставляемой продукции, ремонт и восстановление продукции, организация выполнения заказов на изготовление многооборотной тары, нестандартных изделий и т. п.

– транспортно-эксплуатационные услуги: доставка товаров потребителям, привлечение для транспортировки товаров специальных видов транспорта, посылочная торговля, по лучение грузов по доверенностям клиентов, экспедирование грузов и др.;

– финансово-расчетные и кредитные услуги: коммерческое кредитование покупателей и продавцов, коммерческое финансирование (товарное и денежное) мероприятий по насыщению рынка товарами повышенного спроса;

– арендные услуги (прокат, лизинг): предоставление в аренду оборудования, приборов, инструментов и другой продукции, производственных, складских, служебных и других площадей, тары, контейнеров и транспортных средств, сопутствующих аренде услуг по обеспечению потребителей сервисными работами, обслуживающими специалистами, исходными материалами и т. д.

В данном случае представлена одна из наиболее простых классификаций услуг делового посредничества. По нашему мнению, эти услуги могут быть классифицированы и по направлениям деятельности, в частности финансовые услуги, торговые услуги, околотаможенные услуги и пр.

По методологии планирования все услуги коммерческого посредничества можно объединить в две группы:

1) производственно-коммерческие;

2) информационно-коммерческие.

В первую группу входят услуги так или иначе связанные с воздействием на товарно-материальные ценности в сфере обращения. Из приведенной ранее классификации в данную группу могут быть включены следующие услуги: производственные, транспортно-экспедиционные и арендные. Вторая группа объединяет услуги, не связанные с непосредственным воздействием на товарно-материальные ценности, а представляющие собой процесс производства информации или информационно-финансового обеспечения товарного обмена, то есть посредничество в реализации товаров и организации хозяйственных связей, информационные и организационно-коммерческие услуги, финансово-расчетные и кредитные услуги.

Одной из наиболее распространенных разновидностей посреднической предпринимательской деятельности является дилерство. За 1998–1999 гг. рост объемов реализации продукции через дилерскую сеть составил 23,4 % против 2,2 % в 1995 году.

Дилеры работают за свой счет, покупая товары у производителей и, становясь их собственниками, реализуют их от своего имени. По своему содержанию дилерство является частным видом предпринимательства, основанным на моделировании возможных партнерских связей между контрагентами, оценке и анализе их эффективности и выборе наиболее эффективного варианта партнерских связей.

Исходя из состояния российского рынка большое значение для дилерства приобретают использование консалтинговых услуг, анализ их специфики, организации, научно-методического и информационного обеспечения, выявление приоритетных проблем внутреннего консультирования в дилерской деятельности.

Инновационный аспект дилерства наряду со знанием потребителя, его вкусов, потребностей и предпочтений, особенностей осваиваемого сегмента рынка, объективной оценки собственных способностей, умений, навыков и финансовых возможностей предполагает обладание информацией об уровне развития науки, техники, технологий.

Дилер совместно с производителем участвует в инженерном обеспечении производства: он решает вопросы о технической документации, снабжении комплектующими, оборудованием, сырьем, оказывает помощь в приобретении новых технологий, на что дилерской фирмой выделяются необходимые финансовые средства. В ходе длительного сотрудничества между дилером и производителем возможно создание совместных структурных подразделений, решающих инновационные задачи производителя.

Принятие управленческих решений по дилерской деятельности должно быть основано на использовании полной и объективной информации, систематизированной консалтинговой службой. Комплексный подход к автоматизации управления дилерской фирмой обусловливает использование новых информационных технологий сбора, обработки и выдачи данных.

 

 

§ 1.3. Характеристика досуговых услуг

В зарубежной практике принято выделять услуги отдыха и развлечений в отдельную группу, входящую в так называемые потребительские услуги. Например, отдых и развлечения включены в потребительские услуги населению (сюда же включены личные услуги бытового обслуживания). В среднем американцы тратят значительное количество средств на отдых и развлечения (совокупные затраты на эти цели в 3 раза превышают расходы на здравоохранение).

Предприятия различных видов развлечений, отдыха и культуры разделяются условно на три группы.

Первая группа: театры и студии, кинотеатры всех видов и рангов, музыкальное обслуживание и оркестры, танцевальные залы, студии, музыкальные автоматы в местах общественного пользования.

Вторая группа: предприятия, организующие активный отдых для населения: плавательные бассейны, роликовые и ледяные катки, тиры, школы верховой езды, клубы игры в гольф, бейсбольные и футбольные клубы, площадки для игры в кегельбан, парки отдыха, прокатные станции лодок и каноэ, пляжи, стадионы, легкоатлетические поля и т. д.

Третья группа: всякого рода азартные игры.

Первая группа предприятий по объему затрат на их развитие наиболее значительна в обслуживании населения. На ее долю приходится 46 % всей выручки предприятий и 50 % занятых в сфере отдыха и развлечения. В культурном обслуживании населения главную роль играют кинотеатры, однако они теряют свои позиции. Общая выручка от демонстраций кинофильмов сокращается.

На посещение театров, оперы, симфонических и прочих концертов население тратит почти в 1,5 раза меньше средств, чем на посещение кинотеатров.

Предприятия, предоставляющие услуги для активного отдыха, забирают у населения 45 % расходов, которые тратятся на все виды развлечения и отдыха. Для этой подгруппы услуг принято рассчитывать количество, приходящееся на 1 млн жителей, плавательных бассейнов, пляжей, ледяных и роликовых катков, прокатных станций лодок и каноэ, клубов по игре в гольф, школ верховой езды, площадок для игры в кегельбан и т. д.

Кроме того, учитывается число спортивных сооружений, стадионов, легкоатлетических, бейсбольных и футбольных полей и других сооружений, рассчитанных на проведение массовых зрелищ.

Среди населения популярно времяпрепровождение, связанное с более или менее длительным пребыванием на лоне природы. В активном отдыхе большую роль играют национальные парки и заповедники, широкому пользованию которыми помогают хорошо развитые средства транспорта. Растет число посещений национальных парков и с целью лагерного, походного туризма, рыбной ловли, охоты, плавания по рекам, озерам и занятия зимними видами спорта. На долю разнообразных видов активного отдыха приходится около 50 % всех посещений.

К сожалению, в России не принято выделять досуговые услуги в отдельную группу, но относящиеся к ним по своей сути услуги включены в те или иные группы платных услуг «Общероссийского классификатора услуг населению».

Основным признаком или параметром отнесения услуги в группу досуговых принята ее принадлежность к развивающим и/или развлекательным услугам, потребляемым в свободное от работы и учебы время.

В подгруппу развлекательных досуговых услуг входят услуги дискотек, ночных клубов, аттракционов, игорного бизнеса, различные шоу и спортивные зрелища, спортивная охота, рыбалка и т. п.

Подгруппа развивающих услуг имеет более сложную структуру и дополнительные классификационные параметры.

С целью выделения конкретных видов развивающих услуг досугового характера можно выбрать параметр, характеризующий направление или цель развития. Такими целями являются:

– тело (спортивно-оздоровительные услуги);

– ум (информационно-познавательные услуги);

– вкус (эстетические услуги);

– различные навыки (обучающие услуги), которые, в свою очередь, делятся на: профессиональные, хозяйственные, этические и др.

Включение услуг библиотек и читальных залов в структуру платных также обусловлено объективными причинами: как показывают различные исследования, в условиях снижения государственного финансирования, многие библиотеки вынуждены переходить на платный характер обслуживания читателей.

Нужно отметить, что досуговые услуги являются важнейшей составляющей так называемой социальной экономики, категории чрезвычайно многогранной, охватывающей обширный круг экономических объектов и процессов. В связи с этим изучение потребностей людей в области проведения досуга является частью социальной экономики, которая изучает, исследует, анализирует природу возникновения потребностей в тех или иных досуговых услугах, потребительские запросы, структуру потребления услуг, выделяет потребности различных социальных групп, регионов с учетом разнообразия самих потребностей и потребителей услуг досуга.

Так как социальная экономика ориентирована на человека, призвана способствовать удовлетворению его запросов, интересов, потребностей, то о ее состоянии и развитии судят по тому, как живут люди, а, соответственно, и по тому, как они работают и проводят свой досуг. При всем многообразии жизненных проявлений можно сформировать общее представление об условиях, в которых работают и отдыхают люди, о том, насколько они довольны этими условиями. Все это вместе взятое определяет качество жизни.

Качество жизни охватывает и характеризует весь диапазон ее свойств, распространяется на все ее стороны, отражает удовлетворенность людей предоставленными им материальными и духовными благами, отражает обеспеченность, комфортность, удобство жизненных условий, их приспособленность к современным требованиям, безболезненность и продолжительность жизни.

«Качество жизни» измеряется качественными показателями, в отличие от «уровня жизни». Понятие «уровень жизни» в большей степени характеризует количественную меру благосостояния людей и чаще всего определяется количественными, числовыми показателями.

Каковы главные, наиболее широко используемые в экономической практике измерители уровня жизни, характеризующие и уровень проведения досуга?

Структура и уровень потребления основных видов благ и услуг в натуральном выражении в расчете на одного человека или на одну семью за год, либо мера обеспеченности человека и семьи потребительскими благами служат важнейшими показателями уровня жизни населения страны, региона или определенных социальных групп (городское и сельское население, молодые и престарелые, мужчины и женщины, работающие и неработающие). Соответственно, при оценке уровня проведения досуга используются такие показатели, как количество библиотек, кинотеатров, театров, концертных залов, спортивных сооружений, а также относительные показатели, такие как число книг и журналов в массовых библиотеках на 1000 населения, число мест в клубных учреждениях на 1000 жителей, количество посещений киносеансов одним жителем и т. п.

К числу показателей, характеризующих уровень жизни и, следовательно, уровень проведения досуга, относят денежные доходы населения в расчете на одного человека или семью.

Наряду с денежными доходами на уровень жизни и уровень проведения досуга влияют общественные фонды потребления, к которым относят блага и услуги, предоставляемые государством населению бесплатно или за ограниченную плату. Это такие досуговые услуги, как: услуги культуры и физической культуры, услуги по обеспечению массового отдыха в парках, заповедных местах, на общественных пляжах. В условиях рыночной экономики такие услуги бесплатны или частично платны только для отдельных категорий потребителей, имеющих низкие доходы.

В качестве определяющего показателя уровня жизни и проведения досуга можно использовать также количество свободного времени. Возможно его сопоставление с рабочим или полным временем.

Если судить об уровне проведения досуга людей по их текущему потреблению досуговых услуг, то самое существенное влияние на него в условиях рынка оказывают доходы и цены.

Потребности населения в досуговых услугах очень тесно связаны с образом и уровнем жизни. Во-первых, сам круг потребностей характеризует жизнь людей с позиций их желаний, устремлений, интересов. Потребности могут быть как рациональными, так и иррациональными. Во-вторых, уровень жизни – это, прежде всего, уровень удовлетворения наших потребностей.

По степени важности досуговых услуг можно выделить первостепенные (социально значимые) и второстепенные услуги (в основном развлекательного характера).

Сфера досуговых услуг сегодня должна рассматриваться не только как фактор, снижающий социальную напряженность, но и как важный сектор экономики, обеспечивающий рост занятости, развитие наукоемких отраслей, значительный приток доходов и новых налоговых платежей в государственные бюджеты.

 

 

§ 1.4. Особенности сервисной деятельности в России

Если рассмотреть основные статистические показатели развития услуг в России за последнее десятилетие, то можно увидеть, что в 1993 г. валовой внутренний продукт в экономическом исчислении резко упал по отношению к 1990 г. Но уже в 1996 г. по отношению к 1990 г. он вырос с 23 до 53 %, а общая численность занятых в сфере сервиса возросла с 37 до 50 %.

Но вряд ли правомерно считать, что данный рост отражает эффективное включение отечественной сферы услуг в мировые процессы, связанные с сервизацией экономики. В большей степени он свидетельствует о кризисе сферы материального производства. К тому же увеличение доли сервиса в валовом внутреннем продукте России сопровождалось резким спадом производства социальных и культурно-эстетических услуг: бытовых, медицинских, санаторно-оздоровительных, спортивно-туристских услуг, а также услуг в сфере искусства, музейного и библиотечного обслуживания и др.

Многие новые виды сервиса генерируют услуги высокодоходного характера, то есть нацелены преимущественно на небольшую часть обеспеченных и сверхобеспеченных людей.

В то же время частный капитал не склонен осваивать малорентабельные сервисные производства, необходимые обществу и регионам страны.

С другой стороны, за последние 10–15 лет отечественный сервис освоил множество разновидностей услуг, с которыми общество советского периода напрямую не сталкивалось: консалтинг, инжиниринг, лизинг, психологическое и семейное консультирование, культурновалеологические услуги, игровой и шоу-бизнес и др.

Своеобразным импульсом в деле освоения сервисных инноваций оказался финансовый кризис 1998 г. В неблагоприятных экономических условиях многие предприятия сервиса вынуждены были проявить повышенный динамизм и гибкость, быстро реагируя на требования стремительно меняющейся конъюнктуры и потребительского спроса. В этот период:

– шло интенсивное совершенствование прежних видов и направлений сервисной деятельности;

– появлялись новые для российского общества виды и направления услуг;

– разрабатывались оригинальные сервисные продукты.

Примечательно, что в меняющейся ситуации многие сервисные организации и учреждения социокультурного профиля, продолжая работать на базе бюджетно-государственного финансирования, вынуждены были активно осваивать новые виды и формы обслуживания. Особенно примечательно в этом отношении улучшение библиотечного и музейного обслуживания.

Сегодня крупные библиотеки страны работают иначе, нежели 10–15 лет назад. Все они активно осваивают принципы работы книгохранилищ в условиях информационной культуры. Это связано с освоением технологий работы в рамках масштабных информационных сетей, компьютерной техники в деле создания, сбора, обработки, хранения, распространения и поиска информации, а также новых видов обслуживания посетителей.

Основное книгохранилище страны – Российская государственная библиотека – переходит на обслуживание заказов читателей посредством так называемой системы электронной циркуляции. В этом случае все читатели снабжены пластиковыми билетами с баркодом и фотографией владельца. Подобный читательский электронный билет позволяет свести к минимуму время заказа и ожидания книги из хранилища, ускорить другие формы обслуживания посетителей, а также предоставлять множество услуг, связанных с выходом читателя к базам данных различных библиотечных центров страны и мира.

Музейные центры страны также заняты поиском новых форм обслуживания, способных привлечь в них многочисленных посетителей. Речь идет не только об обновлении экспозиций, разработке новых экскурсионно-тематических направлений работы. В этом плане примечательны более тесные связи музеев с образовательными центрами, турбизнесом, а также предоставление посетителям более широкого диапазона дополнительных услуг (продажа печатной, сувенирной продукции и т. п.) современного типа.

В связи с этим рассмотрим шаги, которые предпринимает широко известный мемориальный Государственный историко-литературный и природно-ландшафтный музей-заповедник А. С. Пушкина «Михайловское». Работники музея, исходя из понимания мирового и российского значения этого мемориального центра, рассматривают перспективы его развития в рамках сохранения как живого свидетельства жизни национального поэта, как механизм поддержания нашей исторической памяти. Поэтому они считают первейшей своей задачей бережно соединить материальные (ландшафт, постройки, музейные экспонаты) и духовные (стихи поэта, воспоминания современников) свидетельства прошлого с современным образом жизни и потребностями посетителей, которые приезжают в заповедник как туристы.

С другой стороны, на территории невозможно полностью отказаться от «новодела», построек технического назначения, уборочных машин на дорожках парка и др. Особое направление в работе музея уделяется современным формам пропаганды пушкинского поэтического наследия и обслуживания туристов: продаже сувениров, печатной продукции, проведению специальных пушкинских мероприятий и т. п.

В качестве нового сегмента отечественной сферы услуг, рожденного новыми условиями жизнедеятельности общества, выступают интернет-услуги, приобретающие для потребителей комплексный характер (информационные, коммуникационные, художественно-эстетические и т. п. услуги).

Интерактивные мультимедийные интернет-услуги стартовали в России уже через 5 лет после их появления на Западе. Однако в настоящее время темпы прироста показателей российского сегмента выше мировых. Российские компании, предоставляющие услуги провайдинга и хостинга (размещения клиентских web-сайтов), оценивают свой рынок оптимистично: годовой рост клиентской базы предполагается на уровне 150 %, скорость доступа, по прогнозам, возрастет вдвое. Этот процесс будет сопровождаться снижением тарифов в среднем на 20–25 %.

Повышенная потребность отечественного сервиса в инновациях особенно остро ставит проблему освоения российскими предприятиями сферы услуг инноваций в организации услуг и формах обслуживания потребителей, идущих к нам из мировой практики.

Статистика свидетельствует также о территориальной сегментации разных видов и типов российского сервиса, которая углубилась сравнительно с советским периодом и в настоящее время выражена намного более рельефно, чем в любой другой стране мира. Это объясняется не только естественным тяготением сервиса к крупным и средним типам поселений (как это имеет место, например, в плотно заселенной Западной Европе и в других регионах мира). К этому добавляется наличие в нашей стране малоосвоенных территорий, а также множества поселений, которые лишены рыночной инфраструктуры: удобных дорог, средств связи, центров инвестирования, фондов социальной поддержки и защиты коммерческой деятельности и др.

Особенности регионального развития отечественной экономики серьезно тормозят развитие коммерческого сектора услуг. Сервисный бизнес в настоящее время тяготеет в основном к столицам и к ряду крупных промышленных центров, крайне медленно (особенно это касается малого бизнеса) проникая за Урал, на Дальний Восток, на северные территории страны.

В рассматриваемый период в отечественную сферу сервиса стали широко внедряться зарубежные производители услуг.

В связи с этим следует отметить проникновение на наш рынок услуг крупных зарубежных фирм-производителей высокотехнологичной продукции, прежде всего электронной. Широкому кругу потребителей крупных городов подобные фирмы известны своим глобальным сервисным обслуживанием бытовой и офисной электроники (Sony, Panasonic, Philips, Samsung, Xerox, LG и др.), программного обеспечения (Microsoft, Symantec и др.) и т. п.

Отечественным предпринимателям в сфере бизнеса пришлось столкнуться не только с продвинутыми мировыми образцами сервисных продуктов. Экономическая конъюнктура, которая складывается во многих соседних с Россией странах, стимулирует предприимчивых людей из ближнего зарубежья приезжать в нашу страну, где, по их представлениям, предоставляется неплохая возможность заработать. В крупных и средних городах страны сегодня действуют гастарбайтеры, а также группы предпринимателей из Украины, Закавказья, Китая, Вьетнама и других стран.

Предприниматели из Закавказья работают в артелях (сбор урожая, производственное и жилищное строительство, дорожно-ремонтные работы и др.), в общественном питании, в рыночной торговле (продажа цветов, овощей, фруктов, а также дешевой одежды и др.).

Китайская диаспора (которая в значительной части состоит из нелегальных мигрантов) уверенно освоила «челночную» торговлю ширпотребом, а в ряде российских городов держит в своих руках точки дешевого общественного питания. Ее представители занимаются разведением и торговлей овощами, а также берутся за неквалифицированную работу.

 

 

§ 1.5. Внедрение новых форм обслуживания

Под формой обслуживания следует понимать определенный способ предоставления услуг заказчику. Прогрессивные формы обслуживания призваны приближать услугу к потребителю, сокращать тем самым время на ее получение и создавать максимальные удобства для него. К таким формам относятся:

– бесконтактное обслуживание по месту жительства;

– срочное выполнение заказа в присутствии клиента;

– обслуживание с помощью обменного фонда машин и приборов;

– ремонт на дому сложной бытовой техники;

– служба экспресс-ремонта;

– прием заказов по месту работы, по телефону или по почте;

– самообслуживание;

– выездное обслуживание.

Помимо широкой рекламы новых видов услуг и прогрессивных форм обслуживания на предприятиях целесообразно создавать маркетинговые отделы по изучению спроса на те или иные виды изделий (услуг). Не менее двух раз в год должно проводиться анкетирование населения.

Внедрение новых видов услуг и прогрессивных форм обслуживания способствует повышению эффективности работы предприятий. Экономический эффект от внедрения выражается в увеличении прибыли за счет снижения себестоимости услуг (самообслуживание на фабриках химчистки одежды) или роста популярности новых видов услуг и спроса на них и т. д.

 

 

§ 1.6. Новые виды отечественных услуг

В качестве нового сегмента отечественной сферы услуг, рожденного новыми условиями жизни общества, выступают интернет-услуги, приобретающие для потребителей комплексный характер (информационные, коммуникационные, художественно-эстетические и т. п. услуги).

Интерактивные мультимедийные интернет-услуги (WWW) стартовали в России через 5 лет после появления на Западе. Однако в настоящее время темпы прироста показателей российского сегмента выше мировых. Рунет опережает Глобальную сеть как по темпам увеличения количества web-серверов, так и по динамике увеличения численности пользователей. Российские компании, предоставляющие услуги провайдинга и хостинга (размещения клиентских web-сайтов), оценивают свой рынок оптимистично: годовой рост клиентской базы предполагается на уровне 150 %, скорость доступа, по прогнозам, возрастет вдвое. Этот процесс будет сопровождаться снижением тарифов в среднем на 20–25 % (Газета, 2002. 24 ноября).

В некоторых случаях новшества в российской сфере услуг приобретали характер прорывов, влияющих на практику мирового сервиса. В качестве примеров можно сослаться на отечественный опыт расширения сфер современного туристского обслуживания. Общеизвестен факт лидерства России в оказании услуг в деле космического туризма. Со временем он будет расширяться.

Другое новшество – морской круиз в Арктику. Оно появилось в 1991 году. В период распада СССР, атомный ледокол «Россия» совершал ледовый поход с научными целями к Северному полюсу. На нем, в атмосфере строжайшей секретности, находилась туристская группа, состоящая из арабского шейха и сопровождающих его лиц (включая гарем), численностью почти сорок человек. Это был первый опыт использования атомных ледоколов в туристских целях, позволявший решить вопросы финансирования научно-экспедиционных работ нетрадиционным для того времени способом.

В настоящее время при строительстве российских ледоколов заранее проектируется возможность перевозки на них туристских групп, строятся каюты повышенной комфортности и предусматриваются другие туристские услуги.

Атомоход «Ямал» активно используется для туристских круизов на Северный полюс. На судне для туристов имеется 50 комфортабельных кают. Всего судно принимает не более 100 туристов, состав экипажа 150 человек. Маршрут проходит из Мурманска через Землю Франца Иосифа на Северный полюс, с возвращением и остановкой на северной и южной оконечностях острова Северная Земля обратно в Мурманск. На Северном полюсе для туристов организуется дневная стоянка и широкий ассортимент развлечений, вплоть до моржевания в полынье.

В среднем стоимость круиза составляет от 15 000 долларов и выше. Спрос на туры исключительно высок. Уже зарезервированы туры на несколько лет вперед (М. Б. Биржаков, В. И. Никифоров, Индустрия туризма: Перевозки. – СПб., 2001).

Еще одна инновация в российском туризме связана с появлением так называемых цивилизационных туров. Новое здесь относится к наиболее сложному аспекту организации туризма – содержательному наполнению туристского маршрута, обобщенному видению культуры, с которой знакомятся путешественники на примере конкретной местности и исторических памятников. В рамках целостного представления о культуре особым образом организуется весь маршрут и строится содержание экскурсий.

Идея цивилизационных туров родилась в коллективе ученых во главе с известным специалистом по проблемам межцивилизационных связей, профессором Ю. В. Яковцем. Вместо привычных маршрутов культурного туризма, во время которых путешественникам показывают отдельные, порой мало связанные между собой исторические памятники и музейные экспонаты, ученые предложили маршруты в разных регионах России объединить сквозной идеей, раскрывающей особенности российской культуры-цивилизации. Таким образом, путешественники, встречающие на своем пути исторические памятники, культурные ландшафты, реалии современной жизни, конкретных людей, получают объемную интерпретацию, объединяющую разные исторические эпохи и разные пласты жизни народа в единое целое. Для участников тура освоение сквозных идей о русской цивилизации позволяет лучше запомнить все увиденное, глубже понять отечественную культуру и ее место в мировом развитии.

Первое начинание такого рода в мировой практике туризма было с особым интересом встречено участниками делового и научного туризма, иностранными туристами. Планируется также расширить цивилизационные туры за счет участников познавательного туризма (школьников, студентов).

В настоящее время ученые вместе с рядом заинтересованных туристских фирм отрабатывают цивилизационные туры на примере таких разных маршрутов, как города Северо-Западной Руси (Псков, Новгород, Санкт-Петербург), народы и культуры Поволжья (Кострома, Ярославль, Самара, Казань, Астрахань и др.).

Повышенная потребность отечественного сервиса в инновациях особенно остро ставит проблему освоения российскими предприятиями услуг и форм обслуживания потребителей, идущих к нам из мировой практики. Эта тема достаточно обширна. В данном случае необходимо отметить, что, когда инновации приходят к нам из практики сервиса других стран, их освоение далеко не всегда происходит сразу и без потерь. Те перспективные виды обслуживания, которые развивались в советский период и которые, на первый взгляд, без труда можно было интегрировать в коммерческую среду, на самом деле далеко не всегда поддавались трансформации по многим причинам.

Рассмотрим в качестве примера трудности, связанные с развитием такого сложного сегмента услуг в рамках консалтинга, как венчурный бизнес, т. е. бизнес, продвигающий в производство рискованные научные разработки. В том случае, когда внедрение научной разработки оказывается удачным, экономический эффект перекрывает все предварительные расходы.

Венчурный бизнес выступает одним из «прародителей» нынешнего этапа научно-технической революции, который смело продвигает эффективные научные разработки в любую область практики. Оказалось, что в России, у которой после распада СССР осталась основная часть научно-технической элиты, этот вид сервиса может найти широкое применение.

Сегодня в стране зарегистрировано свыше 40 тысяч малых предприятий (с общей численностью более 200 тысяч человек), у которых в уставе прописан вид деятельности: «наукоемкая продукция». Для первого этапа развития венчурного бизнеса это неплохое начало. Однако в год новой продукции эти фирмы производят всего лишь на 30–32 млрд рублей, что ничтожно мало в общем объеме производства сервисной деятельности и совершенно недостаточно для венчурного бизнеса. Вместе с тем к этим фирмам проявляют немалый интерес иностранные покупатели, готовые скупить (и скупающие) новые технологии. Да и у отечествен ого производственного бизнеса капиталы имеются. Однако Российский венчурный бизнес прозябает.

Во-первых, никто из отечественных бизнесменов не спешит инвестировать научно-технический прогресс. Психология современного отечественного предпринимателя сформировалась под влиянием неустойчивой обстановки в России, когда надо было в максимально короткие сроки вернуть капитал с наибольшей прибылью. При этом качество и вид бизнеса не принимались во внимание. Инновационные же проекты требуют тщательной научной экспертизы, серьезного исследования их коммерческих перспектив.

А вот здесь то и выступает на первый план второй тип препятствия для венчурного бизнеса: отсутствие рыночной базы его развития. В стране необходимо с нуля создавать проводящую сеть финансовых посредников, готовить проффесиональных менеджеров в этой сфере, развивать адекватно капитализированный фондовый рынок, позволяющий конвертировать результаты предпринимателей в другие высокодоходные активы, и т. п. Но в России эти компоненты рыночной инфраструктуры пока не сложились (Независимое обозрение. – 2002. № 25).

Приведенные выше примеры освоения инноваций в условиях реформ свидетельствуют о наличии в российской сфере услуг творческого потенциала, который в условиях кризиса не остается втуне, но требует определенных условий для своего развития. Преодоление кризиса в российской экономике позволит и сфере услуг более широко осуществлять и использовать достижения мировой практики сервиса во всем их объеме и многообразии форм.

Рассмотрим теперь распространенность разных типов организационных структур в отечественном сервисе в зависимости от масштабов деятельности и числа работающих. Сначала остановимся на крупном бизнесе.

Примером могут служить те крупные структуры бизнеса и системно-отраслевые организации (принадлежащие государству, негосударственные и смешанные), которые сохранились в нашей стране от предыдущего этапа ее развития. Укажем на крупные банковские структуры (Сбербанк, Внешэкономбанк и др.), крупные компании перевозчиков (Аэрофлот, МПС и др.), торговые организации (фирма «Детский мир»), организации связи («Космическая связь», «Связьинвест») и масс-медиа (ВГТРК и др.).

Второй тип крупных сервисных организаций в последнее время зародился и развивается в рамках так называемых интегрированных бизнес-групп (ИБГ): «ЛУКойл», «Интеррос». «Сибирский алюминий», АФК «Система» и ряд других). [18 - Дынкин А., Соколов А. Интегрированные бизнес-группы в российской экономике // Вопросы экономики. – 2002. – № 4.] Среди указанных ИБГ преимущественно сервером занята лишь крупная акционерная финансовая компания «Система», основу которой составляют наукоемкие отрасли связи, телекоммуникации, предприяния НИОКР, а также страхование, торговля. Ядро деятельности остальных ИБГ базируется на работе промышленных предприятий, связанных с нефтяным бизнесом, цветной металлургией и др. Но главное в деятельности подобных групп заключается в том, что, являясь в большинстве случаев холдингами, они включают в себя сервисные структуры, призванные обеспечить обслуживание самих этих групп и их партнеров.

Так, в рамках таких групп действует акционерный коммерческий банк (или несколько банков), выступающий в качестве собственной кредитной организации, расчетного финансового центра, депозитария хранения ценных бумаг и др. Кроме того, данные группы развивают свои филиалы дилеров для сбыта продукции в стране и за рубежом, способны оказывать биржевые, торговые, лизинговые, инвестиционные и другие услуги. Помимо этого в каждой из групп имеется широкий спектр внутреннего обслуживания: медицинские и оздоровительные организации, страховые компании и др. Примечательно, что именно страховым компаниям в ряде случаев удается выйти из своей ИБГ и стать самостоятельным агентом на отечественном страховом рынке (фирмы «РОСНО», «Прогресс Гарант»).

В целом указанная практика ИБГ свидетельствует о том, что каждая группа стремится компенсировать слабую рыночную инфраструктуру в отечественной практике хозяйствования и несовершенный сервис внешней институционной среды при решении своих внутренних проблем. Природа подобных групп не связана с созданием предпринимательских сетей, но тяготеет к более жесткой структуре организации холдингового типа. Однако в переходных условиях данные ИБГ оказались более устойчивыми к внешним неблагополучным воздействиям. Так, сервисные предприятия, включенные в такие группы, легко преодолели трансформационные шоки, обретя новую «среду» в виде инвестиционного и маркетингового партнеров, услуг по стратегическому планированию, подбору персонала и др. Такая «самостоятельность» была характерна для крупных американских конгломератов в первые десятилетия ХХ в., а также для западноевропейских компаний в 50-е годы, для японских – в 50–60-е годы ушедшего столетия, для южнокорейских – в настоящее время.

Укажем еще на одно направление, породившее в отечественной практике последнего десятилетия крупнейшие сервисные организации, – рекламный бизнес. В современной России действует множество разных рекламных агенств, выполняющих посреднические функции между рекламодателями, с одной стороны, и каналами распространения рекламы и потребителями – с другой. Наиболее крупные из таких агенств группируются вокруг ведущих российских телеканалов, хотя при этом заняты производством не только телерекламы.

В нашей стране существуют крупные рекламные компании, которые являются ассоциированными членами международных рекламных сетей. Вместе с тем Россия сегодня является единственной страной в Западной Европе, где ведущие позиции принадлежат не зарубежному, а национальному рекламному бизнесу.

Одним из агентств такого плана является группа компаний «Видео Интернешнл». Это – холдинг, объединяющий 30 подразделений с общей численностью сотрудников свыше 1300 человек и осуществляющий деятельность по самым разным направлениям. Ведущими среди этих направлений являются следующие:

– производство телевизионных программ;

– изготовление рекламных роликов;

– размещение рекламы на телевидении, радио и в прессе;

– наружная реклама;

– исследования в области средств массовой информации;

– разработка рекламных концепций и стратегий рекламных компаний в СМИ;

– компьютерная графика и оформление телевизионных каналов;

– разработка фирменного дизайна и стиля;

– PR-услуги;

– разработка и изготовление плакатов и другой полиграфической продукции.

Помимо того что компания «Видео Интернешнл» действует на РТР и НТВ, она обладает эксклюзивом на размещение рекламы на сетевых каналах ТНТ, СТС, а также на региональных каналах в Петербурге, Новосибирске, Кемерово, Иркутске, Барнауле, Томске и т. д. Также она активно действует за пределами России, владея эксклюзивным правом размещения своей продукции на телеканалах Украины, Белоруссии, Казахстана, на двух венгерских каналах и т. д. [19 - См. Телерекламный бизнес / сост. и общ. ред. В. П. Коломиец. – М., 2001.]

 

 

Контрольные вопросы

1. Что такое сфера бытового обслуживания?

2. В чем состоит назначение сферы бытового обслуживания?

3. Какие существенные перемены произошли в сфере бытового обслуживания в период перестройки?

4. Перечислите основные виды услуг, оказываемых потребителям коммерческими посредниками.

5. В чем состоит сущность деятельности дилера?

6. Охарактеризуйте (по группам) предприятия различных видов развлечений, отдыха и культуры.

7. Дайте характеристику услуг досугового характера.

8. Охарактеризуйте особенности сервисной деятельности в России.

9. В чем состоят различия между сервисной и социокультурной деятельностью?

10. Какие новые виды услуг и прогрессивные формы обслуживания вы знаете?

11. Расскажите о последних российских инновациях в сфере услуг.

 

 

 

Глава 2

Предприятия, оказывающие услуги населению

 

§ 2.1. Особенности общего управления сервисным предприятием

Процесс управления сервисным предприятием имеет много общего с управлением любой организацией, действующей в сельскохозяйственном или индустриальном секторе. Так же как и во многих организациях, процесс управления здесь связан с вертикальным разделением труда (общее руководство, руководство средними и низшими звеньями), а также с компонентным разделением сервисного производства на подразделения, отделы, сектора и др.

Прежде всего рассмотрим особенности управленческих процессов, которые имеют место на сервисном предприятии (организации). Важнейшими функциями управления являются следующие:

– формирование целей и задач производственной деятельности;

– планирование продвижения к целям и разрешение задач;

– принятие решений, то есть осуществление выбора тех или иных вариантов действия;

– реализация решений – выработка приказов, мотивация персонала, его инструктаж и организация, распределение обязанностей, регулирование процессов выполнения приказов;

– контролирование выполнения намеченных планов, отдаваемых приказов и т. п.

Вместе с тем управление в сфере сервиса приобретает ярко выраженные особенности, которые позволяют выделить его специфику на фоне управления в промышленном или сельскохозяйственном производстве, а также в организациях некоммерческого типа (политических, общественных и др.). Управление в сфере сервиса подчинено задачам рыночного развития производства услуг (организация труда персонала, повышение производительности труда работников, достижение конкурентоспособности услуг, их прибыльность и др.). Одновременно оно нацеливается на реализацию многообразных запросов и потребностей больших групп людей, конкретных индивидуумов, которые вступают с производителем услуг в процессы рыночного обмена.

Но отношения между производителями и потребителями услуг не сводятся полностью к рыночному обмену – между ними разворачиваются более напряженные взаимодействия, насыщенные социальными, культурными, психологическими компонентами. Другими словами, производственно-технологические процессы в деле управления сервисным предприятием оказываются далеко не единственными, а во многих случаях и не определяющими в деятельности сервисного предприятия. Все это формирует отличия сервисного менеджмента от управления в организациях общественного типа.

Под углом зрения сервисной специфики рассмотрим процессы управления на предприятиях сферы услуг. Начнем с анализа общего менеджмента, который связан с выработкой целостной политики развития предприятия и тесно переплетается со стратегическим управлением. При этом многое в характере общего управления зависит от масштабов деятельности предприятия, численности его персонала, от организационно-правовой формы.

В крупной акционерной компании, действующей в сервисной отрасли, с числом акционеров более 50, высшее руководство представлено советом директоров, комитетами и правлением. Совет директоров разрабатывает общую политику, правление осуществляет ее реализацию, а Генеральный менеджер (главный администратор, директор, управляющий и др.) держит в своих руках все нити функционирования фирмы (предприятия) или системы, состоящей из головного предприятия и его филиалов.

На среднем предприятии сферы сервиса высшее звено управления представлено гораздо меньшими административными силами. В этом случае речь может идти о 3–7 лицах, принадлежащих к администрации, принимающих важнейшие для предприятия решения и следящих за их реализацией. Так, группу администрации обычно составляют высшее должностное лицо (директор или управляющий), один или несколько его заместителей и главные менеджеры, возглавляющие важнейшие подразделения предприятия (заведующий производством или руководитель процессом обслуживания, инспектор по кадрам).

На малом предприятии все функции управления, как правило, сосредоточены у одного лица.

Рассмотрим функции и задачи, которые входят в круг обязанностей высшего звена менеджмента сервисного предприятия. Важнейшими его функциями выступают:

– выработка целей, стратегии развития и планирования деятельности предприятия;

– оценка рыночного потенциала предприятия и определение критериев эффективности его деятельности в целом;

– осуществление общих административно-распорядительных и организационно регулирующих действий;

– коммуникативно-координирующая функция внутри коллектива и коллектива с внешней средой;

– контролирующая функция применительно к основным направлениям деятельности и к персоналу;

– функции обеспечения общей безопасности работы предприятия и безопасности услуг;

– выработка общей стратегии обслуживания потребителей и создание позитивного имиджа предприятия в общественном мнении;

– развитие связей компании с хозяйственно-социальной средой (партнерами, профессиональной средой, общественностью, властями);

– сбор, анализ и использование деловой информации, приобретающей в современных условиях принципиально важное значение, связанное с требованиями динамизации бизнеса в информационном обществе.

Указанные функции распадаются на множество частных линий деятельности, поэтому реально представители высшего звена менеджмента осуществляют гораздо большее число функций. Это особенно наглядно видно на примере разработки стратегии и целей развития сервисного предприятия.

Под целью понимается желаемое состояние предприятия в ближайшем будущем и дальней перспективе. Именно цель определяет направление движения производственных процессов: что, сколько, где и как будет производить компания, фирма. Цели бывают главными или второстепенными, общими или частными, долгосрочными или краткосрочными, конечными или промежуточными.

Главной целью в бизнесе любой компании, конкретного предприятия являются выживание и развитие, сохранение рыночного потенциала и конкурентоспособности. А целью, которая конкретизирует эту главную цель, выступает прибыль. Менеджмент создает условия для успешного функционирования предприятия, исходя из того, что реальная прибыль выступает не причиной существования фирмы, а результатом ее деятельности.

К общим целям, которые ведут к повышению прибыли, относятся такие, как:

– обеспечение оптимальной рентабельности при имеющемся наборе видов деятельности;

– разработка новых направлений развития, новых видов деятельности фирмы;

– обеспечение экономической устойчивости положения фирмы и всесторонней безопасности ее работы.

К специфическим и конкретным целям можно отнести следующие:

– определение рентабельности по каждому отдельному подразделению, выступающему центром прибыли;

– цели по основным видам хозяйственной деятельности;

– цели хозяйственных подразделений, филиалов и др.

Одна из важнейших задач высшего менеджмента – определение целей предприятия на ближайшую (2–4 года) и дальнюю (5 лет и более) перспективу. Менеджмент в этом случае сводится к умению ставить и достигать поставленных целей.

Цели выступают основой выработки стратегии предприятия (фирмы). Стратегия сервисного предприятия – это рассчитанная на перспективу совокупность мер, обеспечивающая достижение целей, намеченных компанией. Назначение стратегии заключено в том, чтобы выбрать нужное направление развития из многочисленных альтернатив и направить производственные процессы обслуживания по избранному пути.

При наличии множества сходных общих целей (выживание, прибыль и др.) разные сервисные компании, предприятия выбирают неодинаковые пути развития. В этом состоит умение высшего звена менеджмента найти благоприятные возможности там, где их никто не видит, выработав для своей фирмы альтернативные формы деятельности.

Выработка стратегии связана с решением следующих задач:

– разработка стратегических целей;

– оценка альтернативных путей деятельности и выбор наиболее реалистичных и перспективных из них;

– оценка внешних возможностей их реализации и внутренних предпосылок для их решения предприятием;

– анализ важнейших тенденций в области маркетинговой деятельности;

– оценка деятельности предприятия на основе различных критериев с учетом намеченных целей и планов (финансово-ресурсных, инновационно-внедренческих, кадровых и др.);

– подготовка детальных оперативных планов, программ, бюджетов.

Предприятие определяет свои ключевые позиции на перспективу в зависимости от приоритетности целей. При этом возможны различные виды стратегий: продуктивно-рыночная, стратегия маркетинга, конкурентная стратегия, инновационная, инвестиционная стратегия, стратегия с опорой на человеческие ресурсы. Данные виды стратегий могут пересекаться друг с другом. Как правило, меняется их очередность и приоритетность в зависимости от конъюнктуры и внутренних возможностей фирмы.

В мировой практике предпринимательства глубоко укоренены механизмы выработки долгосрочных целей и планирования деятельности конкретного предприятия. Российский бизнес сферы услуг приступил к решению этих задач в рыночных условиях сравнительно недавно. Это обстоятельство осложняется глубоким кризисом экономики, затрудняющим выработку стратегического управления и планирования на любом предприятии. Кроме того, как указано выше, ослабление государственно-правовых рычагов регулирования хозяйственной практики, а также проникновение криминала в сервисное предпринимательство закрепили в сфере услуг тактику выживания одного дня. Нередко на сервисных предприятиях торжествуют принципы: прибыль любой ценой, а там видно будет; быстрые сделки – быстрые деньги и др. Эта психология и поведение мешают преодолеть общий кризис, наносят огромный ущерб становлению цивилизованного предпринимательства в сфере сервиса, в экономике страны в целом.

Особенно распространено убеждение в ненужности стратегического менеджмента и основ планирования производства среди руководителей малых предприятий сервиса. Долгосрочные планы порой расцениваются ими как что-то нереальное или ненужное. В этом, помимо слабой готовности работать в рыночных условиях, сказывается своеобразная реакция на засилье бюрократического планирования советского периода. Во всех случаях недооценка работниками стратегического менеджмента и планирования усугубляется недостатком профессиональных знаний по управлению предприятием, недостаточным информационным обеспечением, ориентацией на сиюминутный спрос потребителей или быстротечную моду, опорой в основном на собственный опыт и интуицию, а не на планирование и долгосрочный расчет.

Конечно, долгосрочные программы развития разрабатываются и реализуются на небольшом предприятии иначе, нежели на среднем и крупном. Вся организация и технологии обслуживания на малом сервисном предприятии в большей степени ориентированы на повседневный спрос, в то время как изучение и прогноз долгосрочных тенденций считаются излишними; работники предприятия чаше всего удовлетворяют маломасштабный индивидуализированный спрос в пределах пространственного и предметно-узкого сегмента рынка и т. п.

Но какую бы сторону деятельности малого предприятия мы ни взяли: оперативное планирование производства, обеспечение ресурсами, маркетинг, – все они в той или иной степени нуждаются в масштабном, рационализированном и координированном подходе к работе предприятия. При этом следует учесть, что авторы даже наиболее продуманных целей и планов не могут предугадать все, что наступит в будущем. Поэтому менеджер, реализуя тот или иной план, никогда не может быть избавлен от неуверенности в его результатах – они зачастую не совпадают с запланированными. Однако эту ситуацию следует расценивать как нормальную. Главное состоит в том, что стратегические планы позволяют минимизировать неопределенность в сознании людей, принимающих решения, повышают надежность выбранных альтернатив развития предприятия.

По мере нормализации хозяйственных процессов тактика ухода от стратегического управления и планирования деятельности крупных, средних и малых предприятий сервиса находит все меньше сторонников у отечественных менеджеров. Сегодня многие руководители убеждаются в том, что без этих инструментов общего менеджмента сервисных предприятий их эффективное развитие не может иметь место. Решение повседневных задач бизнеса начинает постепенно подчиняться более отдаленным перспективам. К настоящему времени многие российские предприниматели сферы сервиса не только овладели умением выживать в неустойчивой и мало прогнозируемой среде, но научились самоадаптироваться, формировать и расширять вокруг себя пространство нового порядка. Это позволяет им уверенно планировать будущее развитие. Исследователи изучают подобное поведение бизнеса в кризисной среде в рамках теории «пульсирующего» менеджмента, учитывающего нелинейное развитие экономической конъюнктуры и общественно-политической ситуации.

Представители высших звеньев менеджмента сервисного предприятия не могут быть кабинетными руководителями. Сущность их работы требует постоянного взаимодействия с подчиненными, потребителями, представителями бизнеса, властных структур. Мимо их внимания не должны проходить также каждодневные оперативные вопросы обеспечения качественного обслуживания. Все это требует проведения мониторинга внутренней и внешней информации о делах фирмы. Далеко не в каждом случае представитель высшего управленческого звена обязан вникать в любую мелочь, но он должен уметь точно оценивать, в каких ситуациях вопрос не может быть решен без него. Функция работы высшего звена менеджмента на среднесрочную перспективу заключается в том, чтобы его представители уделяли внимание разработке планов и программ, позволяющих усовершенствование текущего управления на предприятии, осуществляли контроль за организационной структурой и процессом обслуживания.

Для руководства любой компании, фирмы сервиса предметом особого внимания выступает обеспечение безопасности предприятия и бизнеса в целом. При этом речь идет о многостороннем подходе к безопасности, прежде всего таких сторон функционирования предприятия, как производственный процесс, обслуживание потребителей, работа персонала, предпринимательская активность. Данная задача приобретает особую актуальность в связи с немалым уровнем криминогенности отечественного бизнеса, слабой правовой и культурной основой взаимодействий предпринимателей между собой. Таким образом, обеспечение безопасности направлено не только против криминальных элементов, но и недобросовестных сотрудников, конкурентов.

Особенно остро проблема обеспечения безопасности стоит в тех сегментах и учреждениях сервиса, где сосредоточиваются огромные материально-технические, финансовые ресурсы, а также информация о них: учреждения банковско-биржевого обслуживания, крупные торговые центры, складские помещения, музеи и др.

Опыт российских сервисных предприятий позволил выработать те принципы, которые необходимо учитывать руководству фирмы в ходе создания эффективной системы безопасности своего бизнеса:

– комплексность, то есть всестороннее действие всех звеньев этой системы: охраны, режима входа и выхода в помещение фирмы, кадров, сохранности документов, техники и т. п.;

– упреждающий характер мер обеспечения безопасности;

– непрерывность действия системы безопасности – она должна действовать как во время работы, так и после закрытия фирмы;

– активность, настойчивость, нестандартные меры защиты;

– законность, то есть использование только дозволенных методов обнаружения и пресечения правонарушений;

– экономическая целесообразность и сопоставимость с возможным ущербом;

– специализация всех мер и средств защиты;

– координация действий работников в этом направлении, четкое взаимодействие всех заинтересованных подразделений и служб.

Особая забота представителей высшего звена управления сервисного предприятия – сплочение коллектива работников, их общая мотивация, а также создание общих условий для ротации и карьерного роста наиболее способных и ответственных сотрудников. Эффективные методы мотивации работников не могут реализовываться только представителями низовых и средних звеньев управления. В этом направлении важнейшие решения принадлежат ведущему руководству. К тому же персональное участие и личный пример руководителей способны стимулировать конструктивную деятельность рядовых сотрудников.

Анализ низовых звеньев управления и ряда других направлений менеджмента на сервисном предприятии осуществляется на материале нижеследующих разделов пособия.

 

 

§ 2.2. Организационная структура сервисного предприятия

Процессы управления и выполнения работ в индустрии сервиса реализуются в рамках организационной структуры предприятия, учреждения. Структура в данном случае отображает организационное строение предприятия, способ функционирования в нем производственных процессов, а также связей и отношений между работниками разных подразделений.

Организационная структура сервисного предприятия позволяет ответить на такие вопросы: кто, что, где, какими средствами, когда и в какие сроки должен делать? Она задает определенный порядок распределения функций и видов деятельности между сотрудниками предприятия, а также регламентирует полномочия и объем ответственности за планирование, принятие решений, их выполнение и контроль. Практически организационная структура представлена основными отделами и подразделениями предприятия, а также связями и отношениями между людьми, потоками деловой информации и материальных ресурсов. На основе закрепленной структуры направляется и контролируется деятельность работников, отдаются распоряжения и приказы, организуются потоки потребителей.

Структура целенаправленно вырабатывается и воспроизводится в силу того, что она:

– позволяет рационально разделить и специализировать труд персонала по функциональным и содержательным задачам;

– формирует важнейшие каналы отношений и связей внутри коллектива, а также работников с потребителями;

– определяет задачи и обязанности каждого работника;

– определяет взаимоотношения между ними, а также их профессиональные роли.

Ранее, в доиндустриальную и индустриальную эпоху предприятия услуг имели простейшую организационную структуру: формировалось основное подразделение, связанное с производством услуг, и другое подразделение (нередко меньшее по численности и объему труда), нацеленное на создание условий для работы основного производства. Во многих случаях один работник совмещал множество производственно-служебных функций.

В настоящее время на малых, сверхмалых, частично на средних предприятиях сервиса данная структура, как и прежде, сохраняет свое значение. Здесь имеют место следующие характеристики организационной структуры:

– низкая степень разделения труда (работники нередко перегружены из-за совмещения множества служебных функций);

– руководитель непосредственно участвует в сервисном производстве;

– почти не встречается разделение на отделы;

– преобладают короткие прямые информационные каналы связи между работниками;

– доминируют неформальные (личностные) отношения между сотрудниками;

– координирование работы разных сотрудников устанавливается непосредственно ими путем прямых согласований и договоренностей;

– все это предполагает наличие высокой степени организационной гибкости и реактивности на изменения спроса и др.

Однако, чем более масштабно по объему работ и числу работников сервисное предприятие, тем больше в нем служб, подразделов, информационных каналов, предписанных инструкцией. Здесь более формализованы и обезличены служебные контакты, связанные с получением указаний и осуществлением контроля. Координирование связей создает значительные проблемы; низка степень гибкости реагирования на меняющиеся запросы потребителей и др. Все это заставляет представителей организационного менеджмента обращать особое внимание на структуру сервисного предприятия.

В настоящее время на крупных, многих средних, а также на части малых предприятий сервиса действует дифференцированная, комплексная организационная структура. Основное производство на множестве современных сервисных предприятий распадается на несколько подразделений, среди которых выделяются организационные единицы, относящиеся к производству основных видов услуг, а также к работам заготовительного, вспомогательного, обслуживающего характера. Так, для современного отеля характерно наличие двух важнейших звеньев обслуживания гостей: служба размещения и служба питания. Остальные службы носят вспомогательный характер, хотя порой для них характерны разветвленные подструктуры, что свидетельствует о глубоком разделении труда в индустрии гостеприимства.

Рассмотрим ниже важнейшие типы организационной структуры, часто встречающиеся на малых, средних и крупных предприятиях (в учреждениях) сервиса.

1. Линейный тип организационной структуры (рис. 1) включает:

– высший уровень руководства (руководитель, его заместители, члены администрации);

– основное подразделение, оказывающее услуги,

– обслуживающий персонал и руководители их работы.

Линейный тип организационной структуры характерен для небольших (малых и средних) предприятий сервиса: парикмахерских, ателье, мастерских по ремонту бытовых приборов, кафе или небольших столовых и др.

2. Функциональный тип организационной структуры

(рис. 2) приобретает более сложный характер в силу пересечения множества функциональных связей и отношений между отделами и группами сервисного предприятия.

При наличии функциональной структуры второй уровень организации принимает более разветвленный характер, в зону действия которого попадают подразделения, осуществляющие обслуживание потребителей.

Такая структура характерна для более крупных предприятий сервиса, которые располагают целым рядом подразделений сервисного производства, а также создают отделы, берущие на себя функции их внутреннего обслуживания: отдел приема заказов, рекламы и информации, планово-производственный отдел, отдел технического обслуживания, финансовый отдел и др. В рамках данной структуры обычно организована работа районных поликлиник, средних отелей, магазинов.

 

 

 

Р – высший уровень руководства; 1, 3 – вспомогательные подразделения; 2 – основное подразделение и его подструктуры (2.1, 2.2 и 2.3) – вспомогательные подразделения; 2.1 – группа приема заказов; 2.2 – обслуживающие группы (бухгалтерия, отдел кадров, техническое обслуживание и др.); 2.3 – группы заготовителей (заготовка сырья, материалов, товаров и др.)

Рис. 1. Линейный тип организационной структуры

Р – высший уровень руководства; А – планово-экономический отдел, финансовый отдел; Б – технический отдел; В – информационно-рекламный отдел; 1, 2, 3 – основные подразделения, оказывающие услуги

Рис. 2. Функциональный тип организационной структуры

Р – высший уровень руководства; 1, 2, 3 – административно-руководящие и вспомогательные подразделения; А, Б, В – крупные сервисные единицы-подразделения

 

 

 

 

 

 

 

 

 

 

Рис. 3. Линейно-функциональный тип организационной структуры

Р – высший уровень руководства; I, II, III – административно-руководящие и вспомогательные подразделения, А, Б, В – крупные единицы-подразделения; 1, 2, 3 – специализированные бригады

Рис. 4. Бригадный тип организационной структуры

 

3. Линейно-функциональный тип организационной структуры (рис. 3) оказывается уместным в тех случаях, когда сервисное производство носит масштабный характер и состоит из крупных организационных единиц-подразделений. Будучи по целям деятельности подчиненным центральному руководству, каждое из таких подразделений снабжено совокупностью вспомогательных групп и обслуживающих отделов. Примерами такого организационного типа могут быть структуры крупных отелей (более 500 номеров), банков, больниц, вузов. К этому же можно добавить пример сервисной организации, имеющей свои филиалы на данной территории или на других территориях.

 

Разновидностью линейно-функционального типа структуры является бригадная организация.

В этом случае предприятие обладает рядом участков или цехов сервисного производства, разнотипным набором услуг и трудовых операций. В рамках этих участков или цехов трудятся бригады (3–12 человек), осуществляющие оперативное обслуживание потребителей.

Примером бригадного типа структуры (рис. 4) выступает организация районных жилищно-эксплуатационных контор в крупных городах. Работники конкретной конторы осуществляют на подведомственной территории и в жилом фонде разного рода сервисные работы: убирают улицы и лестничные пролеты, осуществляют ремонт сантехнического оборудования в квартирах, поддерживают в надлежащем виде электроосветительные сети, осуществляют расчет и сбор коммунальных платежей и др. Значительная часть указанных видов работ осуществляется участниками подобных специализированных бригад. Вместе с тем их общее обслуживание осуществляют вспомогательные отделы и группы.

В практике сервисного обслуживания разные типы организационных структур, рассмотренные выше, могут пересекаться, дополнять друг друга. Одни из составных единиц организации сервисного предприятия остаются стабильными; другие могут создаваться или упраздняться по мере необходимости.

Высокоэффективная организация сервисного производства во многом способна обеспечить качественный сервис. Все это заставляет практиков сервисной деятельности обращать особое внимание на совершенствование организационных аспектов обслуживания. Современная научная теория предоставляет множество подходов к обеспечению эффективного организационного конструирования. Представим их классификацию.

1. Классический подход акцентирует внимание на целях предприятия, предлагает формальную структуру отношений, типичную для иерархизированной формы управления. При этом обосновывается важность технических и технологических требований и общих организационных принципов.

2. Подход в системе человеческих отношений – основное внимание уделяется социальным факторам: условиям труда, формальным и неформальным группам, лидерству, поведению работников в целом.

3. Системный подход интегрирует классический подход и подход в рамках человеческих отношений. Подробно рассматриваются организационные проблемы в ракурсе социотехнических и социоприродных систем.

4. Подход контингентирования исходит из того, что невозможно выработать раз и навсегда наилучший подход к организации предприятия. Структура организации, ее менеджмент зависят от множества ситуационных переменных, в связи с чем требуется придавать ей гибкий характер.

Исходя из природы и сущности сервисной деятельности, следует признать, что указанные подходы к разработке организационной среды предприятия не стоит абсолютизировать или противопоставлять друг другу. Элементы каждого из них широко используются в практике сервиса. Трудность заключается в том, чтобы на том или ином этапе сервисной деятельности удачно применять элементы каждого из них или умело комбинировать их между собой.

В этой связи обратим внимание на подход контингентирования. Он фокусирует внимание на многообразии ситуационных параметров сервисной деятельности. Данные параметры действительно неодинаковы, это особенно заметно на разных по численности и объемам работ предприятиях, на стандартах обслуживания, на технологиях, используемых в разных секторах сервиса, характере клиентов и их запросах.

В современной практике разных видов сервисной деятельности, когда предприятие сферы услуг работает в быстро меняющейся внешней среде, менеджеры по необходимости вынуждены отходить от иерархически жесткой структуры и вырабатывать гибкие организационные способы деятельности и многофункциональные нагрузки на одного работника, что в какой-то степени возрождает на новом уровне, казалось, давно устаревшие элементы обслуживания.

Такова, например, деятельность персонала небольших отелей, кемпингов в туристский сезон или работа персонала в условиях ярмарочной торговли, где ситуация постоянно трансформируется и каждый работник должен уметь быстро переопределять свои функции. Эти разновидности сервисной деятельности практически отображают воплощение контингентированного подхода. Однако при этом важно не абсолютизировать данный подход. В противном случае могут быть утрачены здравые характеристики других подходов к организационной структуре сервиса: формализующие, упорядочивающие, контрольные, координирующие и т. п.

При разработке и совершенствовании организационной структуры специалисты исходят из представлений о целевых функциях предприятия и функциональном назначении тех или иных подразделений, работников, операций. Организационная структура концентрируется вокруг подразделений с ключевыми функциями (звенья основного производства), к которым примыкают смежные, второстепенные и третьестепенные подразделения.

Однако не всегда легко выстроить корректную иерархию подразделений. Вспомогательными подразделениями обычно выступают те, которые связаны с обеспечением безопасности, инженерными структурами, ведут бухгалтерский учет, административную деятельность и др. Но работники некоторых из этих подразделений могут пытаться играть более важную роль. Например, бухгалтерия может претендовать на выполнение контрольных функций, в то время как она лишь обеспечивает поддержку деятельности предприятия. Финансовый контроль выступает элементом финансовой политики, которую осуществляют представители руководящего звена. Вместе с тем исключительно велика на любом предприятии сервиса служба персонала, которую не отнесешь к функциональным, второстепенным.

Помимо функционального критерия, при разработке организационной структуры учитываются также специализация работ, объем полномочий и размер контрольных функций разных подразделений, а также методы координации между ними.

На различных сервисных предприятиях существует разное число уровней в иерархии, когда командные ступени выстраиваются в вертикальный ряд и строится схема взаимоотношений между руководителями и подчиненными. Найти золотую середину между количеством прямых подчинений и количеством командных уровней непросто. Раньше предполагалось, что один руководитель оптимально может управлять семью подчиненными. Но сегодня считается, что разные ситуации определяют неодинаковое число подчиненных у руководителя.

Руководство предприятием должно определить тот момент, когда начинается необоснованное умножение уровней в иерархии предприятия. Особенно часто эта опасность подстерегает крупные сервисные предприятия, где неизбежно наличие большого числа иерархических уровней. Их численность и структура зачастую свидетельствуют об окостенении живого организма и его бюрократизации.

Практика предприятий обслуживания и раньше и в настоящее время отрабатывала такие организационные формы работы, которые позволяли гибко реагировать на экономическую конъюнктуру, сокращая при этом излишнее количество уровней подчинения и численность персонала предприятия.

В настоящее время успешно реализовать такие формы помогает освоение информационных технологий, внедрение частичного найма работников (почасовиков, на неполную рабочую неделю) и т. п. В современных условиях в организации предприятия (особенно это легко осуществить на среднем и малом по численности работников предприятии) выделяются три группы работников:

– основная группа – персонал выполняет основные производственные функции и трудится на полной рабочей ставке;

– руководящая группа – руководящие работники, которые трудятся также в стабильном режиме найма и осуществляют общее руководство, контроль субподрядных работ и т. п.;

– группа вспомогательная – состоит из гибкой рабочей силы.

Число работников в последней группе может увеличиваться или уменьшаться в зависимости от обстоятельств. Выгода данной группы обусловливается дешевизной рабочей силы, простотой найма и увольнения работников. Конечно, персонал этой группы требует особого внимания: нанятых людей надо всякий раз обучать, а также эффективно управлять ими и контролировать. Но выгоды от такой организации возмещаются, и они очевидны.

Сокращение иерархических ступеней и числа персонала может осуществляться также за счет автоматизации некоторых звеньев обслуживания. Отдельные менеджеры предпринимают авангардные шаги: предоставляют возможность потребителям самим принять участие в процессе обслуживания. Например, некоторые рестораны в ряде зарубежных стран стали практиковать участие посетителей в приготовлении пищи на кухне. Отели дают возможность клиентам приготовить напитки в номере, постирать и почистить вещи в химчистке и прачечной самообслуживания при отеле.

Чтобы оптимизировать многочисленные организационные аспекты деятельности, на крупных предприятиях сервиса вводится организация особой службы контроллинга. Эта служба напрямую подчиняется либо руководителю предприятия, либо его заместителю. Она является самостоятельной и нейтральной по отношению к разным уровням линейного (административного) управления. Ее сущность сводится к тому, чтобы следить за выполнением основных целей, преодолевать несогласованность действий разных подразделений и всех работников в масштабе предприятия, добиваться рационального сочетания управленческих воздействий различного уровня.

Современная отечественная практика разработок организационной структуры свидетельствует, что по многим направлениям она заметно продвинулась к лучшему сравнительно с советским периодом. Функционирование в условиях рынка заставляет многие сервисные фирмы (особенно малые и средние) отказываться от излишних рабочих мест, переходить на совмещение нескольких рабочих функций одним работником и т. п.

Вместе с тем целый ряд аспектов организационной деятельности не удается оптимизировать, а отдельные стороны организации сервисных предприятий в ряде случаев даже деградировали. Выражается это в следующих фактах и тенденциях:

– На многих предприятиях сферы услуг отсутствуют единая система заполнения формуляров и упорядоченный документооборот.

Это не позволяет наладить оперативное управление выполнением услуг, учетом и исполнением заказов.

– Спецификация работ, их функциональное назначение зачастую не выявлены или неточны. Отсюда нечеткое распределение должностных обязанностей работников.

– Взаимодействие между разными подразделениями и их координация слабо упорядочены.

– Отсутствует продуманный контроль работы подразделений и конкретных работников.

– Нередко случается так, что одни работники фирмы перегружены сверх меры, другие недогружены.

Все это ведет к тому, что российские потребители, как и прежде, порой не могут найти ответственного за неудовлетворительное качество обслуживания на многих предприятиях сервиса. В силу необъективных причин учет показателей организации обслуживания на предприятиях сервиса почти не ведется.

Из всего сказанного вытекает следующее: организационно-административные аспекты функционирования предприятия сервиса требуют к себе внимательного отношения. Деятельность предприятия должна быть налажена таким образом, чтобы организационные аспекты можно было трансформировать в соответствии с меняющимися требованиями окружающей действительности и корректировать цели и задачи предприятия.

 

 

§ 2.3. Производственный менеджмент

Современное предприятие сервиса, как и любая иная хозяйственная рационально регулируемая структура, является определенной системной целостностью, представляющей собой синтез организационно-управленческой, производственно-технологической и социально-экономической подсистем. Ко многим подразделам сервисного предприятия применимы такие понятия, как «производство», «производственные участки». Однако в силу различий труда в сфере услуг, а также из-за исторических традиций во многих случаях по отношению к сервисным процессам используются другие термины. Так, не принято говорить об учреждении образования как о производстве – в этом случае отмечают, что здесь осуществляется «учебный процесс». Также особые термины применяются по отношению к лечению людей в больнице, к посещению зрителями театра, к процессам обслуживания клиентов работниками нотариальной конторы и др.

Вместе с тем во всех областях сервисной практики всегда имеется центральное звено, которое составляет процесс обслуживания, приобретающее многие черты производственного цикла. С целью рассмотрения особенностей руководства производственно-сервисными процессами выделим их основные производственные структуры. Это позволит говорить об основных направлениях производственного менеджмента, стимулирующих текущие процессы сервисной деятельности (рис. 5).

 

Рис. 5. Производство сервисного предприятия как системное единство важнейших подсистем и подразделений:

 

 

 

 

 

 

 

 

 

 

 

 

А, Б, В, Г, I, II, III – вспомогательные службы; 1,2 – структуры предварительного приема посетителей и оформления заказов; [1, 2] – зона непосредственного обслуживания потребителей; 3, 4, 5 – подразделения непосредственного обслуживания потребителей с разными схемами взаимодействия между производителями услуг и клиентами; а – место работника предприятия; б – место клиента; 6, 7 – подразделения, выполняющие вспомогательные функции в процессе непосредственного обслуживания

В некоторых малых и средних фирмах сервиса низовой уровень управления совмещен со средним, что определяется объемами работ и числом работников.

Менеджмент этих уровней сервисного производства сосредоточен на текущем (до месяца, полугода, года) и оперативном (повседневном) управлении и планировании деятельных оперативно-хозяйственных подразделений (участков, цехов, смен, бригад).

Рассмотрим управление подсистемой основного производственного процесса обслуживания. Данная подсистема включает в себя:

– процесс предоставления услуг либо в присутствии потребителя, либо в его отсутствие, либо с выездом работника на место обслуживания вне предприятия;

– продукцию в виде вещей, товаров, которые ремонтируются, продаются, изготавливаются, а также сопутствующих товаров;

– оборудование, инструмент, вспомогательные материалы и др.;

– материалы, энергию, сырье.

Перед руководителями производственной сферы стоит задача оптимизировать процесс эффективного осуществления услуг, используя такие целесообразные действия и операции по отношению к персоналу, как организация, распоряжения, координация действий рядовых работников, предвидение, контроль.

Осуществляя оперативное управление, руководитель упорядочивает все звенья производственного цикла:

– регулирует процессы обслуживания, а также организацию учета и контроля его результатов;

– организует труд работников, следит за состоянием их рабочих мест. Последнее особенно важно, если рабочее место находится в контактной зоне и приобретает большое функциональное значение для всего процесса обслуживания;

– стимулирует качественное выполнение работниками своих обязанностей;

– поддерживает эффективные коммуникации между работниками внутри одного подразделения и между работниками разных подразделений;

– осуществляет контроль деятельности работников, добиваясь качественного обслуживания.

В практике современного сервиса имеется несколько способов повысить производительность труда без снижения качества обслуживания. Укажем наиболее распространенные из них:

– разделение процесса обслуживания на фазы и сегменты в зависимости от степени контакта с потребителями. Те фазы и сегменты, которые выводятся за пределы общения с потребителями, усовершенствуются за счет рационализации, автоматизации и т. д.;

– конвейерный способ обслуживания. Происходит сходное разбиение обслуживания на фазы – потребитель постепенно сам проходит разные фазы. Такой прием целесообразен в тех ситуациях, когда это сокращает время обслуживания без утраты качества услуги;

– повышение степени участия клиента в процессе обслуживания – возможно в тех случаях, когда услуги не теряют своей сущности, а клиент позитивно воспринимает свою активность как способ сделать услугу лучше;

– установление равновесия спроса и предложения. Особое внимание обращается на возможности снижения пикового спроса (на пример, очереди в магазинных кассах в конце рабочего дня, повышение спроса на путевки в сезон отдыха и др.). Для этого может быть использовано дифференцированное ценообразование, привлечение дополнительной рабочей силы и др.

В центре оперативного управления находится основное звено обслуживания – взаимодействие с потребителем. При этом персонал нацеливается на отношения с потребителем по принципу «лицом к лицу», «здесь и сейчас». В этом направлении осуществляется контроль за процессами взаимодействия, которые разворачиваются между конкретными работниками (мастерами, специалистами и др.) и клиентами. В задачи управленческого персонала входят функции контроля за соблюдением нормативов обслуживания, стимулирование высокого качества обслуживания, недопущение конфликтов между производителем и потребителем услуги, а также разбор жалоб со стороны клиентов.

На ряде сервисных предприятий существует специфическое звено оперативного управления – организация работ в отсутствие заказника – ремонт, изготовление, пошив, уборка помещения и др. В данном случае руководитель имеет возможность проконтролировать качество проведенных работ.

Особая разновидность работ – выезд мастеров по вызову, работа на дому у заказчика и др. В этом случае мастер должен иметь высокий уровень квалификации, владеть набором необходимых инструментов, чтобы справиться с обслуживанием вне производственно-ремонтного комплекса предприятия. Руководство такого рода работами осуществляется в особом режиме. Во-первых, для подобной формы обслуживания отбираются опытные мастера. Во-вторых, менеджеры предприятия постоянно информируют их о состоянии спроса и требований клиентов к качеству обслуживания. В-третьих, серьезным показателем качественной работы в данном случае выступает отсутствие жалоб или конфликтов с клиентами.

Специфическими производственными и организационными качествами наделены процессы обслуживания, связанные с посредническими, дилерскими услугами, с услугами страхования. В этих случаях работник, осуществляющий посреднические, дилерские, договорные, страховые функции, может не иметь постоянного рабочего места; у него, как правило, отсутствуют сложные инструменты или особое оборудование. Но для него приобретает большое значение одновременное наличие разных форм связи с клиентами: телефонной (стационарной и мобильной), компьютерной, посредством пейджера и др. На первый план его деятельности выходит профессиональный опыт, личные качества характера, особенно умение поддерживать коммуникацию с разными людьми, убеждать их.

Например, риэлтор, помогающий клиентам осуществлять сделки с земельными участками, жилыми и нежилыми помещениями, значительную часть рабочего времени проводит в переговорах с заинтересованными лицами чаще всего по месту их работы или жительства, а также оформляя правовые документы в соответствующих учреждениях и организациях. Основной предмет его активности связан со специфическим видом рыночного товара – с недвижимостью. Его профессиональные качества заключаются в умении адекватно оценить ее стоимость, оказать помощь клиентам при ее продаже или покупке. Сам риэлтор нередко осуществляет по отношению к самому себе одновременно исполнительные и управленческие функции.

На подавляющем большинстве сервисных предприятий в центре управленческого внимания оказывается состояние оборудования, инструментов, посредством которых осуществляется сервис. Они должны быть технологичными, с современным дизайном, удобными в обращении, не создавать лишнего шума, вибрации, особенно в помещениях приема посетителей. Особое внимание следует обращать на безопасность того оборудования, которое работник предприятия эксплуатирует для обслуживания клиента. Необходимо поддерживать бесперебойное функционирование оборудования и инструментов, обеспечивая в случае необходимости их быстрый ремонт.

В целом в служебных помещениях предприятия важно постоянно поддерживать состояние эргономичности, удобства, чистоты, а помещения обслуживания клиентов должны отвечать еще эстетическим требованиям и требованиям комфорта. С этой целью особое внимание следует обращать на состояние всего пространства контактных зон, и особенно – на состояние мест для клиентов, а также рабочих мест для обслуживающего персонала.

Например, места для клиентов должны быть удобными как для них самих, так и для обслуживающего персонала. Поясним на примере продуманной расстановки мебели в ресторанном зале, что считается целым искусством, так как должны учитываться многие факторы, связанные с эстетикой, с рациональным использованием площади зала, с расположением входной двери, окон, колонн и др. При этом важно добиться, чтобы места были удобны для подхода посетителей и обслуживающих их официантов, что предполагает наличие определенного пространства около каждого стола с посетителями. К тому же на определенное число таких столов должен быть установлен подсобный стол, необходимый для работы каждого официанта. На своем столе официант откупоривает бутылки, ставит на него посуду, порционирует блюда и др.

Для рабочих мест разных групп работников должны быть проработаны разные типы рациональной внутренней планировки. На рабочем месте все инструменты, оборудование, вспомогательные материалы размещаются целесообразно. Место должно обеспечивать удобную рабочую позу работника, малоутомительные и короткие трудовые движения, по возможности равномерную нагрузку на обе руки.

Предмет текущего и оперативного управления заключается также в проверке наличия и расходования необходимых для производства услуг материалов, сырья, продуктов. Материалы, сырье, продукты в каждом виде сервиса различны. Неодинаковы также объемы их использования в процессе обслуживания. В этом плане заметно разнятся между собой дневная норма и номенклатура используемых материалов, например, в буфете театра и в ресторане большого отеля, в зубной поликлинике и в многопрофильной больнице и т. п.

Вместе с тем повсюду имеются нормативы расходования материалов и сырья. Норма расхода материалов и сырья означает максимально допустимое их количество на производство единицы продукции (сервисной работы) установленного качества в конкретных организационно-технических условиях производства.

В практике сервиса складываются ситуации как экономии материалов, так и их перерасхода, что одинаково нежелательно для нормального осуществления процессов обслуживания. Контроль использования материалов связан с выявлением отклонений от стандартов, способных негативно повлиять на эффективность обслуживания.

Особое значение в процессе производственного управления на сервисном предприятии приобретает текущее и оперативное планирование. В этом случае речь идет о планах сменно-суточных заданий для работников, а также о календарных, месячных, квартальных, полугодовых планах всего подразделения или конкретных бригад. Они составляются на основе сведений о наличии заказов, с учетом уровня спроса, обеспеченности материальными и финансовыми ресурсами.

Эффективность и качество обслуживания в обычном режиме также выступают объектом оперативного управления.

В этом направлении важен контроль объема времени, требуемого для выполнения тех или иных видов работы с клиентами, поддержание спокойной рабочей атмосферы при обслуживании потребителей, разрешение возникающих спорных вопросов между ними и персоналом.

Всестороннее функционирование основного производственного процесса сервиса не может осуществляться без эффективной работы подсистем службы материально-технического обеспечения: работа энергетической, телефонной службы, инженерно-технические работы, организация хранения и выдачи вспомогательных материалов, охрана фирмы и др. Особое значение деятельность этих служб приобретает в таких многофункциональных видах обслуживания, как гостеприимство, общественное питание, транспортные услуги и др.

Подробнее рассмотрим подсистему, которая напрямую занимается обеспечением производственно-сервисного процесса, связанного с производственными запасами. По своему составу и характеру потребляемые запасы предприятий сферы услуг весьма разнообразны. Они включают в себя сырье, материалы, запасные части, комплектующие изделия, тару. В одних типах предприятий сервиса запасы состоят из технических товаров, в других – из продуктов питания, полуфабрикатов, напитков, в третьих – из печатной продукции: книг, журналов и т. п. Основное содержание деятельности предприятий розничной торговли, складского хозяйства, оптовых рынков связано со складированием и хранением масштабных объемов товаров разного характера и назначения и предметов продаж с многообразными качествами.

Отдельную группу материальных запасов составляют сопутствующие товары и предметы проката. Еще одну, самостоятельную группу, составляют вещественно-материальные ценности заказчиков, подвергаемые ремонту, обновлению, обработке и т. п.

Специфический тип запаса имеет место во многих учреждениях и на предприятиях культурного назначения. Так, запасный фонд музеев содержит не просто материальные предметы, но объекты искусства, представляющие собой общественные духовные ценности и приобретающие высокую финансовую стоимость. Сходными качествами обладают хранилища библиотек, театральные склады для костюмов и декораций, реквизит цирков. Если говорить о запасах крупной киностудии, то это – декорации, материалы для комбинированных съемок, костюмы и утварь прошлых эпох, использованные при создании прежних фильмов и продолжающие сохраняться для будущих съемок. Их сохранность сопряжена с немалыми усилиями квалифицированных специалистов и требует оборудования специальных помещений.

Эффективное управление производственными запасами зависит от рациональной организации системы материально-технического обеспечения, сохранения и движения материальных запасов, а также учета и выдачи материалов и сырья.

В современных условиях указанный выше многофункциональный процесс должен осуществляться на бесперебойной основе, в соответствующих объемах и при хорошей сохранности.

Особые усилия производственного менеджмента сервисного предприятия должны быть направлены на организацию складского хозяйства специализированных или крупных фирм. Организация складского хозяйства включает в себя следующие работы:

– анализ производственной структуры с целью обеспечения пропорциональности, непрерывности и ритмичности процессов обслуживания;

– разработку оперативно-календарных планов работы складского помещения;

– организацию учета и контроля движения потока производственных запасов через склад;

– организацию выдачи и доставки грузов до потребителей;

– анализ эффективности работы складского хозяйства в целом.

 

 

Контрольные вопросы

1. В чем состоят особенности управленческих процессов на сервисном предприятии (организации)?

2. Охарактеризуйте важнейшие функции и задачи, входящие в круг обязанностей высшего звена менеджмента сервисного предприятия.

3. Какие общие цели ведут к повышению прибыли сервисного предприятия?

4. Дайте краткую характеристику следующим видам стратегий: продуктивно-рыночная, стратегия маркетинга, конкурентная стратегия, инновационная, инвестиционная стратегия, стратегия с опорой на человеческие ресурсы.

5. Как осуществляется обеспечение безопасности предприятия и бизнеса? Отметьте общие принципы, которыми необходимо руководствоваться в ходе создания эффективной системы безопасности бизнеса.

6. Что такое организационная структура предприятия, учреждения?

7. Охарактеризуйте организационную структуру сверхмалых, малых, средних и крупных предприятий.

8. Расскажите о типах организационной структуры в сервисных предприятиях (линейный, функциональный, линейно-функциональный).

9. Представьте современную классификацию подходов к обеспечению эффективного организационного конструирования, сложившуюся в современной научной теории.

10. Что такое служба контроллинга? Каковы ее функции?

11. В чем состоят основные задачи менеджмента сервисного производства?

 

 

 

Глава 3

Индивидуальное обслуживание как самостоятельный вид профессиональной деятельности

 

§ 3.1. Процесс обслуживания потребителей

Временные характеристики свойственны процессам непосредственного и опосредованного контактирования производителей услуг с потребителями. Данные контакты, в сущности, образуют то, что называют собственно сервисом, процессом обслуживания. Под обслуживанием понимается система трудовых операций, полезных действий, различных усилий, которые осуществляют производители сервисного продукта по отношению к потребителю, удовлетворяя его запросы и предоставляя ему предусмотренные блага и удобства.

Понятие «обслуживание» близко к понятию «услуга». Однако если последнее сосредоточивается на самой сущности отношений между потребителем и производителем, то обслуживание трактует эти отношения как поэтапный процесс, имеющий свою структуру, приобретающий растянутый по времени характер. Чем больше времени требует обслуживание, тем в большей степени оно осуществляется в режиме пульсации, то есть происходит с определенной регулярностью контактов производителя с клиентом, например, осуществляется каждый день по будням, раз в неделю, два раза в месяц и т. п.

Единовременное обслуживание может длиться от нескольких минут (продажа товара) до нескольких дней, месяцев (туристское обслуживание, медицинское наблюдение больного в стационаре и др.). Если обслуживание конкретным производителем одного и того же потребителя растянуто на более длительный срок – от нескольких месяцев до нескольких лет, оно, скорее всего, осуществляется периодически – контактирование между производителями и потребителями имеет место через равные промежутки времени. Такие временные промежутки могут быть различными и осуществляться в недельном, месячном или годовом режиме. Таким образом, генерируются разновидности постпродажного обслуживания, а также разные формы обслуживания в образовании, в адвокатской, страховой практике и др.

Рассмотрим неодинаковую специфику обслуживания, которая обусловливается разным набором услуг на тех или иных этапах взаимодействия продавца и потребителя. Началу обслуживания предшествует период, формирующий готовность к контакту как производителя услуг, так и потребителя. Производитель готов предоставить свои услуги определенного рода и характера, о чем он старается распространить информацию как можно шире. У потребителя также появляется потребность в услуге определенного рода. Он ищет информацию о том, кто и где способен оказать ему подобную услугу. Указанные обстоятельства создают предпосылку для первого контакта потребителя и производителя услуг.

Первый контакт между производителем и потребителем может носить прямой характер либо опосредованный – через технические средства связи. Но во всех случаях он является весьма важным моментом для обеих сторон. По существу, в ходе контакта имеет место предпродажное обслуживание. Такое обслуживание предполагает демонстрацию изделия или элементов сервисного продукта потенциальному потребителю, сообщение информации об их качествах, условиях приобретения и дальнейших видах обслуживания.

В некоторых видах сервиса клиенту предоставляется возможность активно включиться в предпродажное обслуживание – в ателье, магазинах одежды и обуви клиент должен иметь возможность примерить приглянувшуюся вещь. На специально устраиваемых дегустациях потребитель может попробовать продукт, ознакомиться с процессом его приготовления и т. п. Предпродажное обслуживание – всегда бесплатно.

Организаторы сервисной деятельности предпродажному обслуживанию придают большое значение. К информационно-справочному обслуживанию, к демонстрации товаров и продуктов привлекаются специально отобранные? подготовленные работники – агенты. Они должны уметь быстро и квалифицированно осуществлять все виды предпродажного обслуживания: предоставлять посетителю нужную информацию, демонстрировать товар или некоторые результаты услуги, убеждать его в высоком уровне фирменного сервиса и мотивировать к совершению покупки.

В практике сервисной деятельности данный период, связанный с информационным и демонстрационным обеспечением, тщательно отслеживается и анализируется. Выделяются те показатели, которые приобретают особую важность в планировании, учете и оценке качества предпродажного обслуживания. Это в первую очередь касается показателей, связанных с затратами времени посетителя (потенциального клиента, заказчика), потраченного на ожидание агента из-за очереди, его отсутствия и т. п. Впрочем, отслеживаются и обратные случаи, когда агент ожидает повторного прихода заказчика или его звонка, уведомления.

На подобные предварительные контакты с клиентом производитель услуг может потратить больше времени, чем на его основное обслуживание. С одной стороны, этот объем времени не должен превышать определенные границы, за рамками которых невыгодно продолжать уделять рабочее время данному посетителю. С другой стороны, производитель не может при первых же трудностях отказаться от потенциального заказчика, так как это может снизить объем продаж, негативно отразиться на репутации фирмы.

Многое из того, что характерно для первых контактов с потребителем, остается важным и для основного процесса обслуживания. Вместе с тем этот этап производства услуг приобретает во многом свой, особый характер, определяемый сущностными качествами собственно сервисной деятельности в разных своих направлениях, разновидностях и формах.

Напомним те качества, которые делают процесс обслуживания весьма специфичным, требующим немалого опыта и мастерства. Услуги, которые производитель оказывает во время обслуживания, носят неосязаемый, невещественный характер, хотя их выполнение в большинстве случаев сопровождается использованием сырья, вещей, техники или специального оборудования. Так, продавец предлагает покупателю приобрести мебель; банковские работники оформляют и выдают заказчику финансовый кредит; портниха шьет платье клиентке; стоматолог ставит пломбу на больной зуб пациента и т. п. После завершения обслуживания каждый из потребителей сможет оценить работу специалиста, принять или не принять услугу. Во многих сегментах сферы обслуживания услуга полностью оплачивается лишь после признания заказчиком ее хорошего качества.

Строго говоря, отношения между производителем и потребителем концентрируются не вокруг материальных вещей и предметов самих по себе, а вокруг их функционального характера, определенных качеств, в которых потребитель заинтересован. Производители перечисленных выше услуг обязаны:

– исчерпывающим образом информировать потребителя о том, какой перед ним товар;

– быстро, грамотно оформить и выдать банковский кредит;

– сшить новую вещь или починить испорченную;

– излечить больной зуб.

После встречи с продавцом, банковскими работниками, швеей, стоматологом потребитель не становится собственником оказанной услуги, но лишь собственником вещей, денег или обретенного здоровья.

Будучи невещественными, услуги могут потребляться в больших количествах или объемах, но их невозможно складировать, транспортировать, заготовлять впрок, на будущее. Все это еще раз свидетельствует о значимости в сфере обслуживания непосредственных контактов между производителями услуг и их потребителями.

В ходе обслуживания производитель, обслуживающий конкретного потребителя, и сам потребитель взаимодействуют в рамках определенной контактной зоны, которая в разных видах сервиса и на разных предприятиях неодинаково организована, имеет разные масштабы, действует в различной обстановке. Так, во многих случаях работник контактной зоны и потребитель сидят в помещении офиса фирмы по разные стороны служебного стола. Существуют виды услуг, в рамках которых контактная зона ограничена пространством служебного помещения. В этом случае работник стоит перед потребителями или двигается между ними, предлагая свои услуги: преподаватель в аудитории, стюардесса в салоне авиалайнера и др. Во всех этих случаях расстояние между производителем и потребителем услуги в среднем должно варьироваться в диапазоне от 1 м до 70 см.

В процессе банковского или почтового обслуживания, оказания услуг, связанных с приемом предварительных заказов, контактная зона формируется в специальном приемном помещении. На одно рабочее место отводится пространство, равное 3–3,5 м -------

| bookZ.ru collection

|-------

|

-------

 

 

.

Линия контакта между работником сервиса и потребителем разделена деревянной стойкой, на которой установлен прозрачный экран с вырезом для передачи денег и документов. Работник сервиса обслуживает клиентов, сидя по одну сторону экрана, в то время как клиенты потребляют услугу в порядке живой очереди по другую сторону. В этом случае экран выполняет защитную функцию, оберегая нервную систему работника контактной зоны от чрезмерных перегрузок, так как контактная зона ограничена, а поток посетителей имеет постоянный характер.

Вместе с тем значительная часть личных услуг оказывается в пространстве предельно сжатой контактной зоны, когда работник подходит вплотную к клиенту. Это происходит в процессе реализации парикмахерских, косметических, банных услуг, ресторанного, медицинского, санаторно-оздоровительного, культурно-валеологического обслуживания и т. п. Потребитель услуг при этом может стоять (процедура осмотра больного доктором), сидеть (посетитель ресторана, которого обслуживает официант) или лежать (отдыхающий санатория, которому делает массаж медсестра).

Во всех перечисленных случаях работник, производящий услугу, должен овладеть профессиональными навыками работы с клиентом в непосредственной близости от него. Услуга направлена на удовлетворение наиболее тонких и специфических (витально-рекреационных, косметических, индивидуально-вкусовых или интимных) потребностей человека.

Главные требования к работнику сервиса в этом случае сводятся к следующему: не причинять потребителю услуги неудобства без крайней необходимости, не допускать возникновения у него болезненных или неприятных ощущений, быть обходительным, любезным. Работнику контактной зоны необходимо при любой реакции потребителя (пациента, клиента) сохранять, с одной стороны, доброжелательность, радушие, с другой – проявлять тактичность, сдержанность. В видах сервиса с ограниченным пространством контактной зоны многие поведенческие стереотипы персонала и процедуры обслуживания нормированы особенно жестко и детально.

Вместе с тем в сервисе существуют некоторые разновидности услуг и формы обслуживания, в которых контакты между производителями и потребителями могут быть сведены к минимуму. В этом случае работники сервиса создают возможности и условия для самостоятельного потребления клиентом их услуг. Такова специфика некоторых разновидностей услуг связи, информационно-компьютерного обслуживания, гостиничного сервиса. Так, традиция гостиничного сервиса жестко предписывает: клиент не должен видеть работу горничной, администратора на этаже, хотя при этом за клиентом остается право в любое время обратиться к ним в случае необходимости.

Наконец, существует множество видов сервиса, которые генерируются без присутствия клиентов, – таковы во многих случаях ремонтно-бытовые услуги, услуги товарных перевозок, целый ряд производственных услуг и др. Производители и потребители услуг контактируют лишь на этапе заказа и после завершения работы. Но в этих случаях клиент должен принять заказ, оплатить его, тем самым, признав услугу осуществленной.

Особый этап обслуживания связан с постпродажным видом обслуживания. Первоначально этот этап стал развиваться в процессе продажи техники и товаров длительного пользования. Он генерировался сервисными филиалами производителя. При этом потребителю организовывалась доставка товара, его монтаж, установка, наладка и регулирование, обеспечение набором комплектующих, техническое обслуживание и эксплуатационный контроль, а также ремонт (текущий, средний, капитальный). В последние годы появилась еще одна разновидность постпродажного обслуживания – утилизация товара, отслужившего свой срок.

Постпродажное обслуживание имеет две разновидности: гарантийное и послегарантийное обслуживание. Гарантийное обслуживание бесплатно и осуществляется на основе документального поручительства (гарантии) фирмы-производителя товара на выполнение ею в гарантийный срок обязательств по обслуживанию покупателей, которые приобрели этот товар.

С гарантийным обслуживанием обычно связаны следующие разновидности услуг: расконсервация товара при потребителе; его сборка и запуск; проверка, настройка; обучение потребителя правильной эксплуатации; поставка запасных частей и др. Гарантийные обязательства сопряжены с некоторыми ограничениями в поведении потребителя по отношению к товару. Так, в гарантийный период запрещается проводить ремонт изделия самому потребителю или посторонним специалистам.

После истечения срока гарантии сервис осуществляется за плату. В целом гарантийный и послегарантийный виды обслуживания предусматривают техническое обслуживание изделия, обеспечение потребителя запасными частями, текущий и капитальный ремонт, принудительную модернизацию, полную утилизацию остатков отслуживших свой срок изделий.

Разные виды постпродажного обслуживания, осуществляемые производителями проданного товара, в конечном счете вызваны необходимостью выживания в условиях усиливающейся конкуренции. Организация постпродажного обслуживания связана с немалыми дополнительными расходами фирмы-производителя. Мировая практика диктует производителю правила, согласно которым он несет ответственность за организацию такого обслуживания не только выпускаемых, но и снятых с производства видов техники и оборудования на протяжении всего срока их службы.

Однако объективно производители через свои сервисные фирмы неизбежно улучшают общеэкономические показатели деятельности предприятия. Чтобы расходы на постпродажное обслуживание не стали разорительными, предприятие вынуждено улучшать качество и надежность своих изделий, снижать их себестоимость. Все это способствует совершенствованию экономического развития предприятия.

В советский период из обширного арсенала постпродажного обслуживания, которое развивалось в мировой сервисной практике, отечественная сфера услуг использовала в основном отдельные ее элементы: гарантийный ремонт, замену отдельных частей или используемого изделия целиком и др. Полной системы постпродажного сервиса у нас не было. В настоящее время рыночные отношения и полная хозяйственная самостоятельность предприятий рождают новые возможности для создания такой системы.

Так, серьезную перестройку своих производственных и дилерских систем осуществляют производители отечественного автотранспорта, в первую очередь АО «АвтоВАЗ». Этот производитель делает ставку на постпродажное обслуживание своих автомобилей с тем, чтобы их эксплуатация стала для потребителей более легкой и удобной, нежели иностранного автомобиля.

Весьма примечательным является и то, что в нынешних условиях постпродажное обслуживание в России начинает распространяться не только на крупную технику, товары длительного пользования, этот вид обслуживания осваивают мастерские мелкого бытового ремонта и даже производители некоторых личных услуг (зубное протезирование, косметические операции и др.).

 

 

§ 3.2. Прогрессивные формы обслуживания

Помимо понятия сферы обслуживания рассматриваются формы обслуживания. Под формой обслуживания следует понимать определенный способ предоставления услуг, состоящий из набора конкретных сервисных операций и благ для потребителя. В рамках одной и той же разновидности услуг могут быть задействованы разные формы обслуживания, которые вырабатываются для удобства клиентов, для сближения процесса обслуживания с запросами потребителей.

Ранее уже отмечалось, что понятие «обслуживание» близко по значению к понятию «услуга», трактует отношения между потребителем и производителем как процесс поэтапный, имеющий свою особую структуру и растянутый во времени характер.

Прогрессивные формы обслуживания призваны приближать услугу к потребителю, сокращать тем самым время на ее получение и создавать максимальные удобства для него.

К таким формам относятся:

– абонементное обслуживание;

– бесконтактное обслуживание по месту жительства;

– срочное выполнение заказа в присутствии клиента;

– обслуживание с помощью обменного фонда машин и приборов;

– ремонт на дому сложной бытовой техники;

– служба экспресс-ремонта;

– прием заказов по месту работы, по телефону или по почте;

– самообслуживание;

– выездное обслуживание.

Помимо широкой рекламы новых видов услуг и прогрессивных форм обслуживания на предприятиях целесообразно создать маркетинговый отдел по изучению спроса на те или иные виды изделий (услуг). Не менее двух раз в год должно проводиться анкетирование населения.

Внедрение новых видов услуг и прогрессивных форм обслуживания способствует повышению эффективности работы предприятий. Экономический эффект от внедрения выражается в увеличении прибыли за счет снижения себестоимости услуг (самообслуживание на фабриках химчистки одежды) или роста популярности новых услуг и спроса на них и т. д.

Рассмотрим эти прогрессивные формы обслуживания подробнее.

Абонементное обслуживание состоит в том, что заказчик, заключив договор с предприятием сервиса, получает право на оперативное обслуживание, проведение плановых профилактических процедур в течение срока действия договора. Так, абонементное обслуживание телевизоров на дому у клиентов предусматривает плановое проведение два раза в год профилактического осмотра, оперативное устранение неполадок по вызову клиента. При невозможности ремонта телевизора на дому у клиента предприятие обязано доставить его в свои ремонтные мастерские и после ремонта возвратить в удобное для клиента время. Вводится абонементное обслуживание также на банно-прачечных предприятиях, в парикмахерских и др.

Бесконтактное обслуживание состоит в следующем.

В подъездах жилых домов (общежитии) предприятие сервиса устанавливает контейнеры-накопители. Заказчик складывает в контейнер белье для стирки или одежду для химчистки вместе с заполненной квитанцией. Чистое белье или одежда доставляется на дом заказчику в заранее оговоренное время. Оплата производится при получении заказа.

Обслуживание с помощью обменных фондов машин и приборов состоит в том, что владелец неисправной бытовой техники (прибора) получает в обмен уже отремонтированную аналогичную технику (прибор). При этом клиент оплачивает только стоимость ремонта, необходимого для восстановления сдаваемой им техники (прибора). Эта форма обслуживания широко применяется при ремонте часов, электробритв, пылесосов, полотеров, стиральных машин, холодильников и др.

Обслуживание на дому широко применяется при ремонте крупногабаритной техники (холодильников, стиральных машин, телевизоров, электро– и СВЧ-плит). Владелец неисправной бытовой техники по телефону или почте делает мастерской заказ на выполнение ремонтных работ. В согласованное с заказчиком время к нему приходит мастер.

Разновидностью этой формы обслуживания является предоставление клиенту на время ремонта его бытовой техники в ателье (мастерской) на условиях проката аналогичной техники. Клиент оплачивает прокат этой техники только за установленный правилами срок ремонта. При нарушении предприятием этого срока заказчик пользуется прокатной техникой бесплатно до получения из ремонта своей. Обслуживание на дому требует от мастера высокой культуры, особого такта. Мастер должен обязательно представиться и предъявить свое служебное удостоверение. В настоящее время эту форму обслуживания стали применять при ремонте квартир, мебели и др.

Дальнейшим совершенствованием обслуживания на дому является служба экспресс-ремонта (ремонт «сегодня – на сегодня»). Она практикуется при ремонте телевизоров и другой бытовой техники. По телефону заказчик связывается с диспетчером службы. Затем машина с механиком, имеющим в запасе практически все необходимое для ремонта современного оборудования, отправляется по адресу заказчика. Чтобы добраться до места, механику отводится не более двух часов. Если он задерживается, клиент имеет право на скидку. Конечно, за скорость заказчик платит несколько дороже, чем в обычном телеателье.

Прием заказов по месту работы осуществляется в комплексном приемном пункте, оборудованном у проходной или на территории предприятия (завода, фабрики). Туда же в заранее обусловленное время привозят выполненные заказы.

Самообслуживание позволяет населению удовлетворять свои потребности в бытовых услугах собственными силами. Так, на фабриках-химчистках и в прачечных за определенную плату клиенты получают в пользование машины для самостоятельной стирки белья или чистки одежды. В гостиницах проживающим дают возможность самим приготовить себе чай или кофе.

Выездное обслуживание заключается в предоставлении населению услуг по месту работы или месту жительства специальной бригадой предприятия сервиса. Очень широко эта форма обслуживания применяется для оказания услуг населению в сельской местности, где отсутствуют стационарные предприятия сервиса. Формирование выездных бригад и определение видов предоставляемых услуг производятся с учетом спроса населения, местных условий и особенностей. Практика свидетельствует, что больше всего пользуются спросом парикмахерские услуги, раскрой тканей, мелкий ремонт одежды и обуви, фотографирование, ремонт телерадиоаппаратуры, бытовых машин и приборов.

Выше перечислены лишь наиболее распространенные формы обслуживания в торговле, бытовом и финансовом сервисе. На самом деле их существует гораздо больше. Так, весьма разнообразны формы обслуживания в посреднической деятельности, в оказании медицинских или юридических услуг и т. д. Практика сервиса постоянно умножает эти формы, что вызвано не только конкуренцией, но и необходимостью удовлетворять все более увеличивающиеся общественные запросы.

Помимо широкой рекламы новых видов услуг и прогрессивных форм обслуживания, на предприятиях целесообразно создать маркетинговый отдел по изучению спроса на те или иные виды изделий (услуг). Не менее двух раз в год должно проводиться анкетирование населения.

Маркетинговый отдел также изучает передовой опыт родственных предприятий, проводит дни открытых дверей, конференции заказчиков и т. д. В функции отдела входит работа по формированию разумных бытовых потребностей населения, повышению культуры потребления бытовых услуг.

Внедрение новых видов услуг и прогрессивных форм обслуживания способствует повышению эффективности работы предприятий. Экономический эффект от внедрения выражается в увеличении прибыли за счет снижения себестоимости услуг (самообслуживание на фабриках химчистки одежды) или роста популярности новых услуг и спроса на них и т. д.

Следует отметить, что при сертификации многих услуг показатели времени и качества их выполнения являются основными.

 

 

Контрольные вопросы

1. Чем отличаются понятия «обслуживание» и «услуга»?

2. Приведите примеры неодинаковой специфики обслуживания.

3. В чем состоит важность первого контакта с потребителем?

4. Как строится сервисная деятельность предпродажного обслуживания?

5. Дайте определение понятия «контактная зона».

6. В чем состоит специфика постпродажного обслуживания?

7. Что такое форма обслуживания?

8. Приведите примеры прогрессивных форм обслуживания.

 

 

 

Глава 4

Взаимоотношения специалиста по сервису и туризму и клиента в процессе осуществления сервисной деятельности

 

§ 4.1. Культура сервиса и морально-нравственный характер общения людей

Под культурой сервиса понимается уровень этических знаний, моральных принципов, нравственных навыков, проявляющихся в деятельности работников сервиса при обслуживании клиентов.

Культура обслуживания направлена на обслуживание клиентов на основе выработки определенных правил, процедур, практических навыков и умений. Культура обслуживания диктуется политикой предприятия, поддерживается системой поощрений персонала обслуживания и рядом других мероприятий. Сегодня распространено понимание культуры обслуживания в узком смысле как совокупность правил вежливости (этики поведения). Однако данное понятие следует рассматривать значительно шире, во всех проявлениях составляющих его элементов.

Место предоставления услуг, где работник взаимодействует с клиентами или оказывает им те или иные услуги, называется контактной зоной. Примерами контактной зоны могут служить салоны Домов быта, съемочные залы фотографий, торговые залы и т. д.

Профессиональная этика работников сервиса – это совокупность специфических требований и норм нравственности, реализующихся при выполнении ими профессиональных обязанностей по обслуживанию клиентов. Она основывается на психологии сервиса.

Моральная ответственность работников значительно возрастает, если их работа связана с людьми. При этом от их труда зависят самочувствие, настроение и здоровье общающихся с ними людей. Труд таких работников не может быть строго формализован. От них требуются не только высокая квалификация, но и глубокое осознание своего морального долга перед людьми. Здесь долг превращается в нравственную потребность.

Другими словами, в профессиях типа «человек—человек» помимо общих требований морали действуют специфические требования и нормы нравственности.

К таким профессиям относят, например, профессии врача, журналиста, юриста и, конечно, работника контактной зоны.

Работник контактной зоны и заказчик – это социальные роли. Грамотное выполнение каждой стороной своих ролей способствует культуре взаимоотношений в процессе обслуживания. Так, по данным социологического исследования, проведенного сотрудниками Института психологии РАН, обслуживающий персонал и клиенты ожидают друг от друга наличия определенных качеств.

Заказчик, собираясь посетить ателье (мастерскую), предполагает, что там его встретят высококвалифицированные работники, которые смогут быстро и с высоким качеством выполнить заказ (предоставить услугу). Конечно, зная о такой убежденности клиентов, обслуживающему персоналу не следует демонстрировать свое превосходство над ними (к примеру, из-за того, что заказчики нередко плохо разбираются в направлениях моды или не знают устройства сложной бытовой техники).

Со своей стороны, работники контактной зоны ожидают, что посетитель сможет четко и ясно изложить свои пожелания. Однако не все клиенты умеют это делать. Поэтому клиентам, испытывающим затруднения в общении, должна быть оказана необходимая помощь.

Профессиональное поведение работника контактной зоны должно содержать следующие компоненты:

– доброжелательность и радушие;

– приветливость и вежливость;

– обходительность и любезность;

– сдержанность и тактичность и т. д.

Культура общения работника контактной зоны с покупателем (заказчиком) проявляется в умении сформулировать свои мысли и выслушать посетителя, в отзывчивости и сопереживании клиенту. Как известно, профессиональная этика работников сервиса содержит нравственные требования к их поведению. Конечно, нравственные требования полностью соблюдаются только в обществе с высоким уровнем культуры населения. Поэтому нравственность и культуру общения необходимо рассматривать как важнейшее профессиональное качество работников сервиса. Эти работники должны быть морально и психологически готовы к грамотным действиям, даже в условиях конфликтных ситуаций общения с клиентами.

На культуру общения также влияет расстояние между работниками и посетителем. Установлено, что работнику следует находиться от заказчика на расстоянии 70–80 см. Надо также иметь в виду, что общение облегчается, если собеседники обращены друг к другу лицом, чтобы имел место зрительный контакт.

Большое значение в культуре сервиса имеет интерьер. При организации интерьера не следует забывать о том, что современного человека сегодня волнуют проблемы охраны окружающей среды и собственного здоровья. Такая позиция накладывает определенные ограничения на полет фантазии архитектора и дизайнера. При оформлении интерьера наблюдается тенденция использования экологически безопасных материалов, изготовленных на экологически чистых производствах.

Дизайн интерьера также успешно используется в качестве маркетингового и брендингового инструмента. Особенность и индивидуальность интерьера ресторана, кафе, бара становятся важнейшими акцентами в рекламе этих предприятий, помогают создать собственный неповторимый имидж, сформировать образ высоко комфортного, надежного, солидного предприятия.

Общение людей – универсальный способ их жизнедеятельности, а моральное общение – специфическая форма этой универсальной связи. В нравственном общении проявляются моральные качества личности. Оно представляет собой непосредственную реализацию духовных принципов и идеалов. Нравственное общение – это сфера поступков.

В последние десятилетия часто можно услышать мнение о том, что современный человек оказался моральным банкротом.

В качестве очевидного аргумента высказывается мысль о существующем приоритете экономических, технологических ценностей над духовными. Суть проблемы усматривается в том, что цивилизационный процесс (в смысле технического развития) происходит гораздо активнее, чем нравственный прогресс. На самом деле вопрос о моральности индивида и общества состоит не в том, чтобы вышеназванные процессы протекали параллельно; вопрос в том, в какой мере человек способен овладеть потребностями современности, насколько он способен превратить цивилизационный прогресс в собственное саморазвитие. Другими словами, основная проблема этики на современном этапе заключается не в вопросе о «внутренней нравственности» как таковой, а в осознании человеком ответственности (в широком смысле) за свои деяния как субъекта исторического развития.

Кроме знания о том, как надо поступать, человек должен быть способен следовать своему знанию. Это требует от него большой затраты эмоциональной, психической энергии и самообладания.

Сервисная деятельность в большей степени, чем какая-либо другая деятельность человека, зависит от морального, профессионального, культурного облика субъектов деловых отношений. Ибо сущность взаимодействия в области сервиса сводится к тому, что одна сторона выгодным для себя образом предлагает товар (услугу), а другая желает выгодно получить этот товар (услугу), причем услуга должна быть качественной, а ее получение – комфортным. То есть возникает ситуация «продавец» (субъект деловых отношений) – «покупатель» (объект деловых отношений). Причем «покупатель» находится в лучшем положении, так как он имеет возможность выбирать «продавца» в зависимости от своих личных симпатий и уровня притязаний. Задача же субъекта деловых отношений – привлечь и удержать объект. Именно поэтому следование законам профессиональной этики и этикета очень важно в сервисной деятельности.

 

 

§ 4.2. Этические основы, деловой этикет и эстетические аспекты сервисной деятельности

Рассмотренные выше профессиональные и психологические аспекты культуры сервисной деятельности тесно переплетаются с этикой обслуживания. Этические основы сервисной деятельности формируются из тех мировоззренческих представлений, нравственных ценностей, которые определяют профессиональное поведение работников сервиса и регулируют их отношения с потребителями. Этические принципы предписывают работнику сервисного предприятия освоить такие отношения с клиентами, которые считаются в нашем обществе желательными, одобряемыми, стимулируются современной практикой сервиса и, тем самым, облегчают процесс обслуживания, делают его приятным и эффективным для обеих сторон.

Какие этические принципы и нравственные категории следует признать ключевыми для сервисной деятельности? Перечислим важнейшие из них:

– честность и порядочность по отношению к окружающим;

– совестливость и открытость в отношениях с потребителями;

– уважение к их достоинству;

– осознание своего профессионального долга (обязанностей) во взаимодействии с ними.

Указанные принципы составляют ту нравственную основу, без принятия которой не имеет смысла браться за работу в сфере сервиса. Конечно, немало работников сферы сервиса способны гораздо глубже продумать этическую основу своей профессии: увидеть в ней такие стороны, которые дают возможность саморазвиваться, приносят удовлетворение, наделяют труд нравственным потенциалом.

Вместе с тем не весь арсенал общеэтических принципов и норм может быть задействован в деятельности сервисного предприятия, а лишь те, которые сопрягаются с сущностью сервиса как сложного профессионально-экономического и общественного феномена. Так, вовсе не обязательно персонал должен взаимодействовать с клиентами на основе личной привязанности, любви, абсолютного доверия, то есть тех принципов, которые уместны в семейных или дружеских отношениях. В отношениях между работником и клиентом всегда должна сохраняться определенная дистанция, обусловленная их социально-функциональными ролями в пространстве рыночного обмена. Отбор этических принципов в процессе своих отношений с клиентами работники сервиса совершают, исходя из императивов профессионально-служебной этики.

Под профессионально-служебной этикой сервисной деятельности понимается совокупность требований и норм нравственности по отношению к работникам сервисных фирм, которые в обязательном порядке должны быть реализованы в процессе выполнения ими своих служебных обязанностей. Профессиональная этика позволяет конкретизировать те общие этические принципы, которые были указаны выше. Так, принятие принципов честности и порядочности делает невозможным обман потребителей, пренебрежение их интересами; опора на совестливость предостережет от поступков, причиняющих вред или неприятности клиентам; осознание своего профессионального долга ведет к тому, что работник четко представляет свои служебные обязанности, будучи готовым в любой момент оказать профессиональную помощь потребителю.

Ниже перечислим основные нормы служебной этики, которые должны быть присущи всем работникам сервисной деятельности, независимо от того, где находится их рабочее место:

– внимательность, вежливость;

– выдержка, терпение, умение владеть собой;

– хорошие манеры и культура речи;

– способность избегать конфликтных ситуаций, а если они возникают, успешно разрешать их, соблюдая интересы обеих сторон.

Работники контактной зоны в дополнение к тем этическим нормам, которые перечислены, должны также проявлять:

– обходительность, любезность;

– радушие, доброжелательность;

– тактичность, сдержанность, заботу о потребителе;

– самокритичность по отношению к себе;

– готовность быстро реагировать, удерживая в зоне внимания сразу несколько человек или разные операции, которые осуществляются в процессе обслуживания;

– умение держаться спокойно и доброжелательно даже после обслуживания капризного клиента или напряженной смены;

– умение избегать неудовольствий клиентов и конфликтов.

Перечислим также недопустимые нормы поведения и личностные качества, несовместимые с профессиональной этикой обслуживания. Работнику сервиса абсолютно противопоказаны:

– грубость, бестактность, невнимательность, черствость;

– нечестность, лицемерие;

– воровство, жадность, эгоизм;

– болтливость, разглашение приватной информации о клиентах, обсуждение с кем бы то ни было их недостатков и слабостей;– неуступчивость, желание взять верх над клиентом, подчинить его интересы своим.

Не следует стремиться к тому, чтобы переделать или перевоспитать клиентов за время обслуживания – их нужно принимать такими, какие они есть. Серьезные ошибки начинающих работников сервиса нередко бывают связаны с обидчивостью, с завышенными этическими требованиями по отношению к клиентам, что свидетельствует о личной уязвимости характера таких работников. Важно избавляться от подобных установок.

Если работник допустил ошибку, он должен найти в себе силы извиниться перед клиентом. Целесообразно к каждому клиенту подстроиться (но не подлаживаться), развернув свое мастерство и умение идти навстречу его пожеланиям. При этом важно следить, чтобы в процессе обслуживания указанные качества не переходили в свою противоположность. Так, готовность прийти на помощь клиенту не должна переходить в угодливость, радушие – в навязчивость и подобострастие, терпение – в безразличие.

Практика обслуживания порой рождает такие ситуации, когда неопытному работнику сложно разобраться в этических альтернативах. Как быть, если клиент требует от работника сервисного предприятия оказать дополнительные услуги, не входящие в его должностные обязанности? В данном случае ответная реакция работника, безусловно, должна определяться конкретной ситуацией. Если просьба высказывается в вежливой форме, а дополнительная услуга не занимает много времени и фирма заинтересована в сохранении клиента, то просьбу следует выполнить. Но работник не может потакать немотивированной грубости, неоправданным капризам клиента. Это, возможно, приведет к снижению достоинства работника и к деформации имиджа фирмы.

Еще одна неоднозначная ситуация: как поступить работнику, когда постоянный клиент, демонстрируя хорошее к нему расположение, навязывает дружеские личные отношения? Конечно, теплые отношения между производителем и потребителем услуг встречаются нередко. Иногда они действительно переходят в настоящую дружбу, которая выдерживает испытание временем. Но такое происходит не всегда и не сразу. К тому же это не может случиться по желанию лишь одной стороны. Подлинная дружба возникает как итог искренних и длительных отношений между обеими сторонами. Пока такие отношения не сложились, работнику сервисного предприятия лучше всего придерживаться определенной дистанции в отношениях с конкретным потребителем, хотя он и может выделять его среди остальных клиентов.

В сфере услуг важность этических норм ощущается не только во взаимодействии работников с потребителями, но и работников между собой. Многих из указанных выше нравственных принципов и этических норм работник должен придерживаться и в отношениях с коллегами. На сервисном предприятии особое значение приобретает нравственный климат, где должны отсутствовать конфликты и склока, где нет униженных, раздраженных, равнодушных, но все относятся друг к другу с уважением, вниманием. Исключительно важно создать в сервисном коллективе атмосферу взаимопомощи, научить работников трудиться совместно, а также в специальных группах обслуживания (в команде). Все это помогает общей цели: добиться эффективного обслуживания потребителей.

В связи с перечисленными выше требованиями, предъявляемыми к этической стороне поведения работников сервисного предприятия, уместно сказать несколько слов об их нравственном самосовершенствовании и умении себя организовать, эмоционально настроить на выдержанный, деловой лад. Перечисленные выше профессиональные и общественные требования к этике сервисной деятельности не должны создавать представление, что в сервисном обслуживании могут работать лишь совершенные в нравственном отношении личности. Известно, что здесь неплохо работают разные люди, в том числе и те, чье профессиональное поведение не во всем согласуется с этическими требованиями.

В данном случае необходимо учесть стремление самого работника к внутреннему развитию. Человек, который по своим чертам характера и социальным качествам способен и действительно хочет работать в сфере сервиса, рано или поздно придет к признанию важности высоких этических требований и культурных норм. У него возникнет искреннее желание сформировать у себя аналогичные качества характера и руководствоваться соответствующими принципами поведения. Он не сочтет для себя зазорным учиться у тех мастеров обслуживания, у которых такие принципы глубоко развиты. Его убежденность в эффективности подобного стиля общения будет тем прочнее, чем яснее он будет видеть: это успешно регулирует взаимоотношения между производителями услуг и клиентами, облегчает трудовой процесс, позволяет работать с большей отдачей.

Если же работник не понимает важности конструктивных качеств характера, высоких нравственных норм, не проявляет стремления овладеть ими, то его работа на сервисном предприятии будет доставлять множество неудобств всем: прежде всего ему самому, потребителям, а также фирме. Такой человек оказывается профессионально непригодным к работе в сфере услуг. Администрация и коллектив сервисного предприятия скорее всего выиграют от его ухода.

Все это означает, что процесс овладения принципами профессиональной этики сервиса доступен для подавляющего числа работников сферы сервиса. Однако, чтобы этот процесс был успешным, работник должен приложить немало усилий для формирования у себя соответствующих ценностных ориентиров, качеств характера, привычек. Это нелегко и требует немалых усилий со стороны человека. Во многом облегчает этот процесс неукоснительное следование правилам служебного этикета.

Под служебным этикетом работников сервисной сферы понимают совокупность фиксированных норм, безальтернативных правил поведения, обусловленных служебным положением сотрудника фирмы, которым работник обязан следовать привычно, почти автоматически.

Например, приемщица заказа или мастер, осуществляющий обслуживание, должны встречать посетителя приветливой улыбкой или каким-либо иным признаком расположения; они обращаются к нему на «Вы», во время разговора повернуты к нему лицом, без крайней необходимости не отвлекаются на другие дела и т. п. В этом случае требованиям служебного этикета подчиняются все элементы их поведения: речь и тон, манеры и настроение, жесты и выражение лица. Напротив, недопустимы дурные привычки, жаргонные выражения, пренебрежение к клиенту и др.

В заключение укажем, что культура обслуживания невозможна без эстетических компонентов. Эстетика обслуживания связана с художественными аспектами услуги, с внешними формами окружающих предметов, которые оцениваются как красивые, гармоничные. Печать хорошего вкуса, удобства и гармония должны чувствоваться на всех материальных предметах, которые сопровождают процесс обслуживания: на здании и его архитектуре, интерьере помещений, на элементах декоративно-прикладного искусства, на организации рабочих мест. Особое внимание уделяется освещению и колориту интерьера.

Эстетическая культура работника сервиса связана с его внешним видом (одеждой, обувью, прической, аксессуарами). Его внешний вид в целом должен соответствовать служебным целям и согласовываться с интерьером. Поэтому во многих фирмах предпочитают одевать работников в униформу, которая разрабатывается специально и не должна выглядеть уныло или стандартно. Элементы эстетики должны также присутствовать в эмблеме фирмы, отражаться в дизайне оборудования, на упаковке товаров, сопровождающих обслуживание, и т. п.

Если все перечисленные элементы обслуживания – профессионально-трудовые, психологические, этические, эстетические – свойственны всем сотрудникам фирмы и находятся в гармоническом единстве, то это создает общий конструктивный стиль обслуживания. Подобный стиль оказывается весьма важным элементом имиджа сервисного предприятия, поэтому его нередко называют фирменным стилем.

Вместе с тем он формируется в том случае, если персонал овладел философией обслуживания, которая позволяет каждому работнику понять – для чего ему необходима психологическая и этическая подготовка.

Философия обслуживания раскрывает социальное назначение сервисной деятельности в обществе и жизни людей, обосновывает тот вклад, который может быть сделан в этом направлении персоналом фирмы. Философию никоим образом нельзя сводить к должностным инструкции или перечню этических правил обслуживания. Рассматривая производителей и потребителей услуг как равноправных партнеров, определяя их общие цели в сервисной деятельности, философия способна продуцировать единые духовные ценности (например: «клиент всегда прав»), тем самым согласовывая и гармонизируя их поведение в целом. В свою очередь, слаженные действия и взаимопонимание всех участников сервисной активности ведут к тому, что позитивный эффект обслуживания многократно усиливается. В этом случае в фирме царит дух доброжелательности и хорошего настроения. Главное состоит в том, что этим настроением заражаются клиенты, унося его с собой. Подобный оптимистический настрой способен привести их в эту фирму еще не один раз.

 

 

§ 4.3. Социально-культурная сфера и кодекс профессиональной этики работников обслуживания

Для характеристики социально-культурной сферы (СКС) необходимо ее сопоставление с социальной сферой. Социальная сфера как экономическая категория представляет собой инфраструктуру общественной деятельности по удовлетворению социальных и духовных потребностей людей. Социальная сфере как области специфических экономических отношений свойственны некоторые общие экономические особенности, которые характеризуют определенные отрасли непроизводственной сферы (культуру, образование, науку, здравоохранение и т. д.).

В связи с разработкой ОКДП социальную сферу не совсем корректно стали отождествлять со сферой услуг. Существует и более узкое понимание социальной сферы, ограниченное деятельностью по социальному обеспечению и социальной защите определенных слоев населения.

Понятие СКС используется, как правило, для характеристики общественной деятельности тех структур общества, в рамках которых осуществляется социально-культурное воспроизводство, то есть в нее включаются разнообразные социальные институты, специализирующиеся на данной функции. Иначе говоря, это совокупность предприятий, учреждений, организаций и органов управления, осуществляющих производство, распределение, сохранение и организацию потребления товаров и услуг социально-культурного и информационного назначения, обеспечивая тем самым удовлетворение культурных и информационных потребностей населения.

К СКС относят образование, культуру, здравоохранение, физическое воспитание и спорт, социальное обеспечение, СМИ и коммуникации и другие виды и сферы социальной деятельности по развитию человеческого потенциала как источника и конечной цели общественного развития.

В отличие от социальной сферы в состав СКС не входят такие отрасли и виды деятельности как государственное управление и финансы, ЖКХ, пассажирский транспорт.

Услуги в сфере социально-культурного сервиса служат удовлетворению потребностей двух уровней общественно значимых и индивидуально необходимых. Как целое, общество не только представляет своим гражданам созданное усилиями предшествующих поколений культурное пространство и обеспечивает сохранение и умножение культурных ценностей прошлых времен и народов, но и стремится ввести эти ценности в сознание каждого индивида, так как от уровня индивидуальной культуры зависит и уровень культуры общества в целом. Культура здесь выступает как предельно широкая философская категория, воплощающая в себе и культуру производства и культуру бытия в целом во всех его взаимосвязях и отношениях в рамках исторически конкретной социальной действительности.

Слово «культура» в переводе с латинского означает «обработка, возделывание, совершенствование, образование, воспитание». Культура характеризует как степень развития той или иной сферы жизнедеятельности человека, так и самого человека. Следуя Д. С. Лихачеву, определим культуру как «сотворенную человеком материальную и духовную среду обитания, а также процессы создания, сохранения, распространения и воспроизводства норм и ценностей». Таким образом, с культурой тесно связаны нормы и ценности, включая общечеловеческие ценности.

В рамках социально-культурного сервиса обеспечивается удовлетворение через систему здравоохранения индивидуальных потребностей граждан в сохранении на приемлемом для нормальной жизнедеятельности уровне здоровья, потребностей в активной рекреации и спортивной деятельности, в освоении культурного, экономического и социального пространства человеческого бытия в границах его мирового расселения через систему общественно организованных и индивидуальных форм туризма и экскурсий.

В социально-культурный сервис входят также услуги дошкольных учреждений и различных форм социального обеспечения всех категорий граждан.

Сфера культурной деятельности постепенно выделилась в самостоятельную отрасль. Функционирование этой отрасли направлено на создание продукта, способного формировать и удовлетворять культурные потребности людей. Ее отличие от других отраслей, например, образования, связано с тем, что эта деятельность направлена на всестороннее (интеллектуальное, эстетическое, нравственное и т. д.) воспитание человека и удовлетворение его духовных потребностей. Образование же требует систематических занятий.

В сфере культуры выделяют такие категории: культурное наследие, публикации и литература, музыка, исполнительское искусство, изобразительное искусство, кинематограф и фотография, радио и телевидение, спорт и игры, природа и окружающая среда.

Требования профессиональной этики работников обслуживания фиксируются в специальном документе (кодексе). Приведем основные положения такого кодекса:

– Каждый заказчик должен почувствовать, что ему в ателье (мастерской) искренне рады.

– Каждый посетитель – потенциальный заказчик.

– Приветливый взгляд, добрая улыбка в сочетании с деловым поведением создают дружеский контакт и облегчают обслуживание.

– Принимайте заказчика таким, каков он есть. Не старайтесь его переделать за несколько минут общения с ним. Будьте тактичны, вежливы и радушны, но вежливость не должна переходить в угодливость. Вежливость – самое надежное средство в общении с людьми различного возраста, характера и темперамента.

– Внимательность работника – одно из основных условий благоприятного морально-психологического климата в салоне ателье, мастерской. Невнимательность – наибольшее зло во взаимоотношениях с заказчиком. Ничто так не травмирует психику, не удручает и не ожесточает, как равнодушие, пренебрежительное отношение к человеку.

– Умейте владеть собой, проявлять выдержку и терпение. Берегите себя, не позволяйте себе чрезмерно раздражаться.

– Отвечайте на грубость выдержкой и вежливостью.

– Никогда не оставляйте без внимания претензии и возражения заказчиков.

– Искренне и своевременно извиниться – это не унижение, а достойное признание определенной вины; это и признак культуры.

– Каждый поступок работника должен быть мотивирован и не вызывать у заказчика сомнения в его справедливости.

– Придерживайтесь согласованного с заказчиком времени его прихода.

– Держитесь прямо, не опускайте голову вниз, когда вы на виду, а тем более разговариваете с заказчиком.

– Старайтесь равномерно распределять свои физические и психические нагрузки, не забывайте о часах основного потока посетителей.

– Вы не имеете права отзываться пренебрежительно об изделиях, которые заказчик отдает в ремонт, на восстановление или обновление.

– Берегите честь предприятия и своих товарищей.

Работнику бытового обслуживания недостаточно только выучить положения этого нравственного кодекса. Эти положения должны прочно перейти в его убеждения, стать его «второй натурой», не оставаться на бумаге. Однако некоторые работники контактной зоны, к сожалению, не соблюдают требований профессиональной этики. Клиентам еще приходится встречаться с черствостью, бездушием, высокомерным к себе отношением. Конечно, со всеми этими отклонениями следует вести непримиримую борьбу как административными, так и воспитательными методами.

 

 

Контрольные вопросы

1. Что такое культура сервиса?

2. Что такое профессиональная этика работников сервиса?

3. Назовите основные компоненты поведения работника контактной сферы.

4. В каких умениях проявляется культура общения работника контактной зоны с клиентом?

5. Какие этические принципы и нравственные категории следует признать ключевыми для сервисной деятельности?

6. Перечислите основные нормы служебной этики работника сервиса.

7. Перечислите недопустимые нормы поведения и личностные качества, несовместимые с профессиональной этикой в практике сервисного обслуживания.

8. Сопоставьте социально-культурную сферу (СКС) с социальной сферой.

9. Охарактеризуйте сферу культурной деятельности.

10. Расскажите кратко о требованиях профессиональной этики работников обслуживания, зафиксированных в специальном документе (кодексе).



 

.